原名:Farmland abandonment decreases soil bioavailable phosphorus but increases organic phosphorus in the mid-hills of Nepal
译名:在尼泊尔丘陵地区,退耕减少了土壤生物有效磷,但增加了土壤有机磷
作者:Xin Tian,et al.
期刊:Catena
2021年影响因子/JCR分区:5.198/Q1
发表时间:2021.12
土地利用变化;磷组分;生物有效磷;磷供应;山地生态系统。
(1)背景:全球土地利用变化受到人类活动的综合调控,但山地土地利用变化对土壤磷循环影响的方向和程度尚不清楚。
(2)主题:研究四种不同土地利用(农田、弃耕地、森林)的土壤生物有效磷的的浓度何储量的变化以及其供应途径的影响。
(1)科学问题:在这种气候背景下,退耕还林对土壤磷转化及生物有效性的影响?
(2)科学假说:由于人工肥料的缺乏,土壤磷的生物有效性和储量会下降,同时由于退耕后土壤侵蚀,磷的流失也会增加;退耕后土壤磷组分变化显著,由于凋落物投入的增加,有机磷组分相对于无机磷组分增加。
A.试验样地与实验设计
位于尼泊尔典型丘陵,采集四种不同土地利用类型的样品(农田,弃耕农田,灌丛,森林),在每个采样点均设置10X10m的样方,采集0-10cm土层的土壤样品。样品一份保存在4◦C,用于分析土壤磷组分和微生物生物量磷(MBP)和土壤水分。另一份是风干土壤,用于土壤理化性质分析。
B. 土壤理化性质分析
土壤水分;土壤pH;土壤质地;SOC;TN;TP;Olsen P
C.无定形铁/铝
    使用酸式乙二酸铵提取,并用ICP-AES进行测定。
D. 土壤磷组分
采用顺序提取法测定土壤中P的含量,Hedley 1982:9种组分对于磷的生物有效性贡献存在不同意义。
E.数据分析 
所有数据进行正态检验和方差齐性检验,K-W非参数检验用于区分不同土地利用类型土壤性质的差异;RDA分析用于模拟土壤P组分与相关环境因子的关系(地形、理化性质);结构方程模型(SEM)用于评估土地利用类型如何影响土壤P组分并探究调控土壤P有效性的关键途径。
土壤呈酸性,pH为6.0-6.5,其中农田土壤的pH相较于森林和弃耕土壤更高。森林的土壤水分更高。SOC在4种土地利用方式中表现出明显的差异,森林土壤中最高,TN在4种土地利用方式中差异不大,在农田中相对较低。不同土地利用方式下,土壤中Feox和Alox的含量差异不显著。
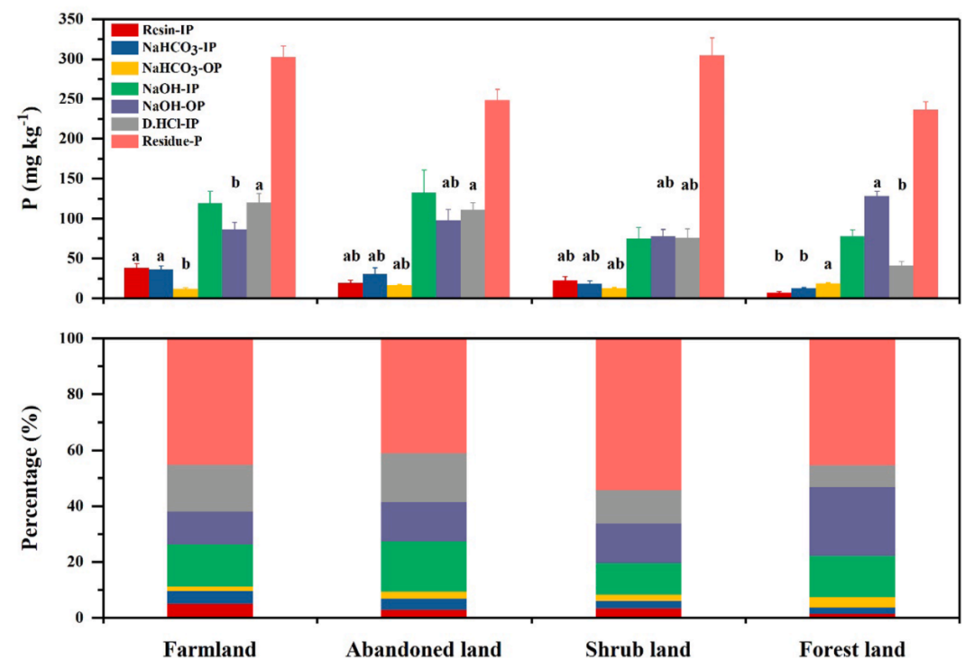
土壤TP的浓度:521.9-714.0mg/kg,不同土地利用类型之间没有显著性差异;不论土地利用类型,闭蓄态P(OP>40%)占主导,其次是有机P、次生矿物P和原生矿物P,其中Bio-P生物有效P占比很小。不同土地利用方式下,土壤中特定磷组分的含量存在显著差异。土壤生物有效P:相比于森林,农田更高:Resin-P(7.2-38.4mg/kg);NaHCO3-IP(12.4-36.3mg/kg)。
不同土地利用类型的TP储量(699.9-947.5kg/ha)无显著性差异;土壤无机磷的储量(Resin-P,NaHCO3-IP,NaOH-IP、D.HCl-IP):503.3-818.3kg/ha,显著高于有机P储量(123.6-196.7kg/ha),生物有效P储量:26.4-98.2kg/ha相比于农田,森林Bio-P更低;MBP(10.1-23.1kg/ha)。森林土壤TP的损失率显著低于农田和弃耕地。



RDA结果表明地形和土壤理化性质分别解释了53.1%和57.9%的土壤P组分变异。与农田相比,其他土地利用类型的土壤P组分受到更多环境因子的调控。农田土壤pH与次生矿物P、有机P呈负相关;其他土地利用类型中,土壤pH、MBP、SOC和黏粒等多元环境因子共同调控P组分。
TP无显著变化;随着弃耕农田的出现和自然植被的恢复,土壤中生物有效磷含量呈现下降趋势,而土壤有机磷含量呈现相反的上升趋势,这与以往研究不一致。同时,与农田相比,土壤pH、MBP、SOC和粘粒对其他土地利用方式下土壤P组分的调节作用更大,表明了自然土地中土壤磷循环的复杂过程。土壤生物有效P的浓度在农田中更高,可能由于施肥效应增加了农作物生产的P输入。土壤质地对农田生物磷的控制起主导作用,由于土壤颗粒的比表面积不同,可能通过吸附/解吸过程来控制生物有效磷含量。
不同土地利用类型土壤生物有效P来源和供应显著不同。在农田中,生物有效磷直接受到次生矿质磷的影响,说明磷肥中的生物有效磷可能与土壤矿物中的铝/铁氧化物和/或氢氧化物结合,成为土壤生物有效磷的主要来源。原生矿物磷和闭蓄磷对农田土壤生物磷的直接和/或间接影响不足,表明它们对农田土壤生物磷的贡献有限。退耕后生物磷素受次生矿物磷素、有机磷素和封闭磷素的直接影响,受次生矿物磷素、次生矿物磷素和有机磷素的间接影响。不同P组分对Bio-P的贡献程度存在显著差异。除土地利用外,次生矿质磷是调节土壤磷生物有效性的主要磷组分。
(1) 退耕还田对土壤TP浓度和储量没有影响,但显著降低土壤生物有效性,增加有机磷含量。(2) 植被恢复引起的植物生物量增加和土壤侵蚀引起的磷流失是生物磷储量减少的两个主要原因,而土壤有机磷可能受到土壤水分低、凋落物输入量增加和分解能力弱的调节.(3) 在农田中,粘土主要影响土壤P组分,而在其他土地利用方式中,土壤pH、MBP、SOC和粘土调节土壤P组分。此外,由于外施磷肥,次生矿质磷是农田土壤生物磷的直接来源;相比之下,其他土地利用方式的土壤Bio-P供给更为复杂,反映了磷循环的复杂性。(4) 研究表明,退耕还林会对土壤生物磷产生负面影响,需要制定土地管理策略,减少土壤磷流失,改善退化山区土壤质量。