028-8525-3068
新闻动态 News
News 行业新闻

并非所有的碳都是相同的:氮输入下的易分解库和稳定库

日期: 2024-07-24
标签:

并非所有的碳都是相同的:氮输入下的易分解库和稳定库


文献解读

原名:Not all soil carbon is created equal: Labile and stable pools under nitrogen input

译名:并非所有的碳都是相同的:氮输入下的易分解库和稳定库

期刊:Global Change Biology

IF:10.8

发表日期:2024.7.8

第一作者:臧华栋 中国农业大学农学与生物技术学院


背景

人类活动提高了世界范围内的氮输入,由于农业活动和化石燃料的使用,人类氮输入比自然来源大30%-50%。鉴于碳氮之间的密切关系,活性氮输入水平将极大地影响全球碳循环,氮输入的增加刺激了土壤碳储存,因为氮的增加促进了植物生物量的产生和植物来源的碳输入,然而氮输入对不同周转时间的有机质(SOM)库影响仍存在争议,特别是其潜在机制。因此,探究有机质库对氮输入的响应对阐明全球C循环的复杂性至关重要。


假设

(1)通过方法组合可以有效地评价C池(从数年到数十年的周转率)对氮施肥的响应。

(2)“碳限制”和“微生物氮开采”这两种机制都与SOM池相关,取决于它们的可用性,这代表这两种理论之间的联系。


科学问题

(1)分析不稳定到稳定有机质的矿化反应;

(2)量化各种有机质库分解对氮输入的敏感性;

(3)评估细菌和真菌群落变化,并阐明微生物群落的变化程度如何反映有机质分解对氮输入的响应。


材料与方法

方法:将有机质中的13C自然丰度与21年的C3-C4植被转换和长期孵化实验结合起来,估算氮输入对不稳定碳库和稳定碳库有机质矿化的影响。土壤取自霍恩海姆大学试验站0-10厘米深度(有机碳约2.4%,总氮含量0.25%,pH值5.1)和邻近草地(有机碳约2.5%,总氮0.21%,pH 5.1)。巨芒草作为一种C4植物,在21年前被引入到之前的C3草地土壤中,导致δ13C从−27‰转移到−17‰。δ13C中这种差异被用来区分新土壤和老土壤有机碳。C4-C称为新C(小于21年),而C3-C来自以前的草原碳称为老C(大于21年)。

检测指标:CO2累计排放量、微生物生物量碳、可溶性有机碳、δ13C分析、微生物群落组成、胞外酶活性:碳相关(β-葡萄糖苷酶BG、β-木糖苷酶BX、纤维二糖苷酶CBH、α-葡萄糖苷酶AG)、氮相关(β-1、4-N-乙酰氨基葡萄糖酶NAG)

并非所有的碳都是相同的:氮输入下的易分解库和稳定库

21年后的C3-C4植被变化(通过δ13C分离新旧碳库)与长期孵育(通过矿化排出不稳定的碳库)结合使用的实验设计示意图


结果

对于非常不稳定的有机质库,氮输入使有机质分解平均降低18%-52%,对于不稳定/稳定的有机质库降低了11%-47%,对于非常稳定的有机质库降低了3%-21%。所有有机质库的分解均被氮输入抑制,但不稳定的有机质对氮的敏感性远高于稳定的有机质库。

并非所有的碳都是相同的:氮输入下的易分解库和稳定库

4个土壤碳库(从不稳定到稳定)的累积二氧化碳排放(a)和氮诱导启动效应(d)依赖于氮施肥(075150300 kg N公顷−1)。不同土壤碳池(从不稳定到稳定)释放的累积二氧化碳随氮施肥的增加呈线性关系(b)SOM矿化对氮肥施肥的敏感性取决于碳库稳定性(c)


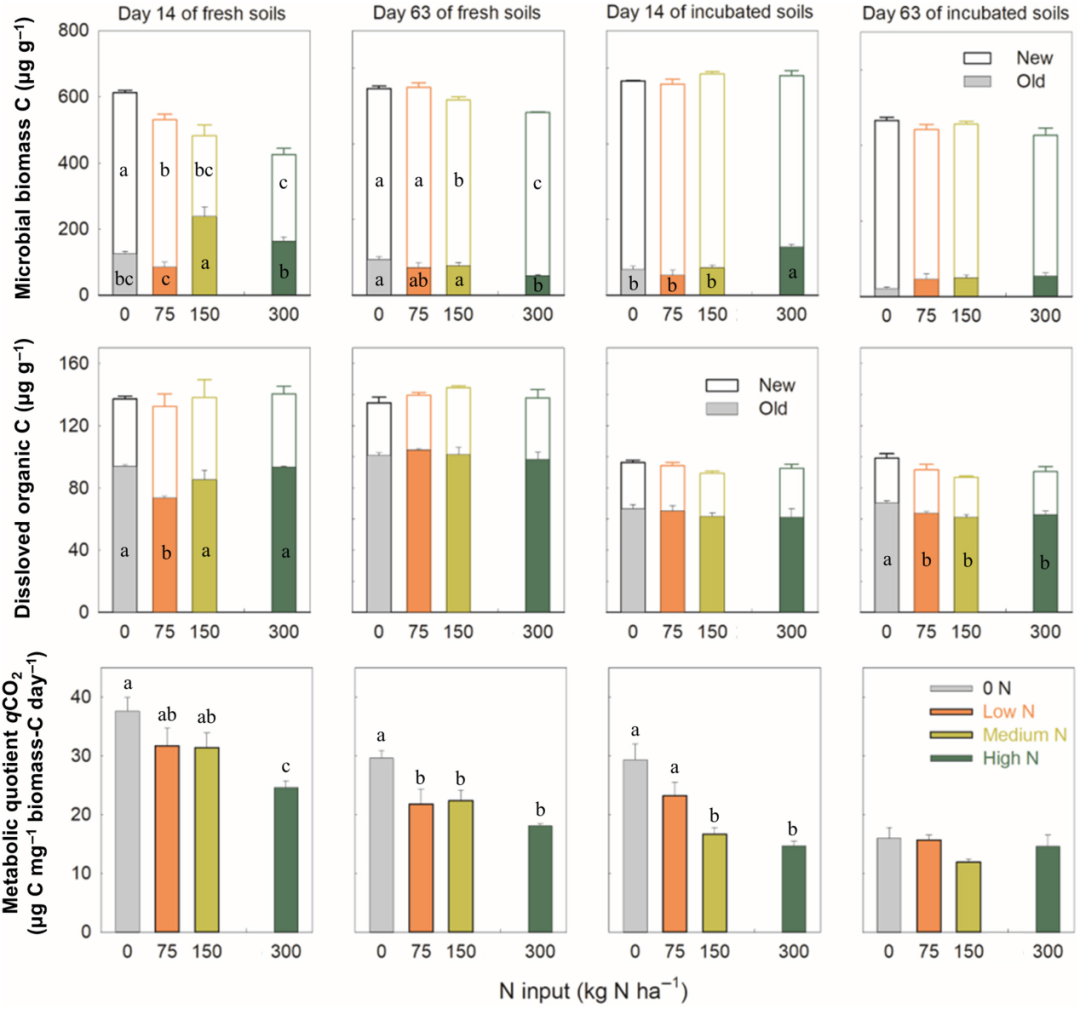
在孵育6个月后,微生物生物量和溶解性有机碳均有所下降,表明在长期孵育期间,氮输入导致有机质不稳定组分消耗。

并非所有的碳都是相同的:氮输入下的易分解库和稳定库

(C4,小于21)和老(C3,大于21)的微生物生物量和溶解有机碳,以及新鲜和培养土壤的代谢商qCO2随氮施肥变化。


在第14天,细菌多样性在所有氮水平上保持相似,而在第63天,多样性被氮改变,与细菌相比,真菌群落组成是在第14天改变,PCoA分析表明,第63天的细菌和真菌群落与第14天的群落明显分离。

并非所有的碳都是相同的:氮输入下的易分解库和稳定库

不同氮水平输入对微生物群落组成影响


氮输入对参与碳降解的各种细菌功能基因的影响取决于氮输入时间,由于氮输入,第63天大部分不稳定库的碳降解基因丰度下降。

并非所有的碳都是相同的:氮输入下的易分解库和稳定库

碳降解基因对氮输入的相对相应


随机森林模型表明,微生物生物量中的真菌多样性、EMF是有机质矿化的主要影响因子,并决定了其对氮输入的响应。真菌多样性和EMF随二氧化碳的释放而增加,但随氮诱导的启动效应而降低。氮输入降低了第14天的酶活性,真菌多样性和EMF随二氧化碳的释放而增加,氮输入仅在短期内降低土壤功能。

并非所有的碳都是相同的:氮输入下的易分解库和稳定库

氮输入对土壤功能与胞外酶的影响(土壤功能是根据与碳、氮和磷循环相关的7种酶活性进行计算)



结论

并非所有的碳都是相同的:氮输入下的易分解库和稳定库

土壤有机质矿化对氮输入的响应模式。绿色和棕色的线表示有机质矿化速率的下降,这取决于碳的有效性。浅绿色阴影代表有机质矿化对氮输入下降的敏感性随碳有效性由高到低下降。


氮输入降低了所有有机质库的矿化程度,不稳定库对氮输入的敏感性高于稳定库。非常不稳定有机质库对总二氧化碳释放有很大的贡献(高达60%)。

氮对有机质矿化的抑制最初是由于微生物生物量和土壤功能的降低所致,从长期来看,细菌群落向变形菌门的转变和不稳定碳降解功能基因的减少是主要驱动因素。

有机质库的可用性越高,氮输入对其矿化的抑制作用越强。不稳定的有机质库对氮的可用性高度敏感,在全球规模的氮输入下可能具有更大的碳封存潜力。

-end-

栢晖生物成立于2014 年,公司致力于为生态、农业、林业等科学研究领域提供专业的检验检测服务。

公司拥有成熟、完善的实验室管理体系以及强大的实验技术团队,持有CMA+高企认定聘请来自中国科学院、中国农业大学、四川大学等高校单位的生态、农业相关方向专家顾问十余位。

实验室的检测仪器设备齐全,拥电感耦合等离子体发射光谱仪、有机元素分析仪、总有机碳分析仪、离子色谱仪、高效液相色谱仪、气相色谱质谱联用仪、稳定同位素质谱仪等先进设备。

如今,我们已与全国 300 多家高校及科研单位建立了密切的合作关系,年交付的实验数据量可达 100 万+,协助上万名客户完成相关科研项目,并在生态领域NC、NG、GCB、SBB国际顶级期刊发表论文数十篇。

我们秉承着“公正、准确、规范、高效”的理念,竭诚为每一位客户提供专业、优质的检测服务。

并非所有的碳都是相同的:氮输入下的易分解库和稳定库

(实验室部分环境拍摄)

# 栢晖 #

—特色检测指标—

土壤、植物酶活检测

氨基糖、PLFA及其同位素、磷组分

木质素酚CUE、有机氮组分、有机酸

氨基酸、微生物量碳氮磷同位素

苯多羧酸、红外光谱、微生物多样性等

其他土壤、植物、水体等常规检测指标均可测定


  • 最新资讯 MORE+
  • 点击次数: 0
    2025 - 10 - 10
    13C固体核磁共振方法简述为了提高固体核磁共振测定的精确度,土壤样品在进行核磁共振分析前先用氢氟酸(HF)进行预处理。预处理方法如下:称量8克土壤样品于100mL塑料离心管中,加50mLHF(体积分数10%)溶液,摇床上振荡1h(25℃,200r/min),离心机上3800 r/min离心5min,弃去上清液,残余物继续用HF溶液处理。共重复处理8次,摇床时间依次是:第1-4次1h,第5-7次12h,最后1次24h。处理过后的残余物用蒸馏水清洗后以除去其中的HF溶液,方法如下:加50mL蒸馏水,振荡10min,离心5min(3800r/min),去掉上清液,整个过程重复4次。残余物在40℃的烘箱中烘干,过60目筛后置于密室袋中,备NMR上机测定。数据示例点击放大查看红外光谱方法简述土壤样品的光谱特征使用傅立叶变换红外吸收光谱进行分析。将干燥的样品与干燥的KBr(样品:KBr = 1:80的比例)在玛瑙研钵中汇合均匀并研磨至粉末状(粒度 < 2 μm),压成透明薄片。用傅立叶变换红外光谱仪(Spectrum 100; PerkinElmer, MA, USA)扫描测定并记录其光谱。光谱数据进一步用Omnic 8.3软件(Thermo Nicolet Corporation, USA)分析。根据前人的研究,我们选择了4个波峰区域来分析土壤C官能团特征并计算峰面积比:alkyl-C(2985 - 2820 cm-1);aromatic C=C(1800 - 1525 cm-1); O-alkyl-C(1185 - 915 cm-1) and aromatic CH(855 - 740 cm-1)(Pengerud et al., 2013)。基于峰面积比,我们计算了土壤SOM的疏水性指数(HI,alkyl-C/SOC)和芳香度指数(AI,alkyl-C/O-alkyl-...
  • 点击次数: 0
    2025 - 09 - 29
    BAIHUI文献解读原名:Heavy metal contamination threats carbon sequestration of paddy soils with an attenuated microbial anabolism.译名:重金属污染威胁水稻土壤的碳封存,微生物分解代谢减弱。期刊:GeodermaIF:6.6发表日期:2025.8第一作者:熊丽 江西省农业科学院土壤与肥料及资源环境研究所(熊丽课题组)01背景耕地中的土壤有机碳(SOC)不仅是土壤肥力和生产力的基础,更在缓解气候变化中发挥着重要作用——仅表层1米的土壤中就储存着全球SOC总量的近10%。SOC的生态功能主要取决于其循环转化与长期存留能力,而这些过程极易受到重金属污染等环境压力因素的显著影响。近百年来人类活动的密集开发,使农田土壤重金属污染日益严重,已成为威胁土壤健康和粮食安全的全球性问题。作为土壤碳循环的主要调控者, 微生物如同“针眼”般精准调控着有机质碳的转化过程,且对重金属具有高度敏感性。因此,重金属污染对微生物介导SOC转化的影响正引发学界越来越多的关注。图1:研究区及沿县岔河13个采样点位置示意图02科学问题(1)重金属污染会降低微生物可利用碳元素(CUE)并加速生物量周转;(2)微生物合成代谢能力减弱将显著影响污染稻田土壤中有机碳的变化。03材料与方法(1)本次实地考察在自1934年开采至2020年关闭的小龙钨矿周边展开。属亚热带季风气候区,年均气温18.6℃,年均降水量1726毫米。 (2)水稻种植是该地区最主要的农业类型,采用典型的早稻-晚稻轮作制度。 (3)在河流上下游13个采样点采集土壤样本 (图1),每个采样点选取三块相邻的稻田作为三重复样本。每块稻田内设置五个2×2米样方,每个样方从表层(0-20厘米)随机采集五个直径2.5厘米的土...
  • 点击次数: 0
    2025 - 09 - 09
    原名:Aggregate size mediates the stability and temperature sensitivity of soil organic carbon in response to decadal biochar and straw amendments译名:团聚体尺寸调控长期生物炭与秸秆添加下土壤有机碳的稳定性及温度敏感性期刊:Soil Biology & BiochemistryIF:10.3发表日期:2025年9月3日BAIHUI ORGANISMS作者简介第一作者:陈雅兰,北京师范大学环境学院励耘博士后,师从孙可教授。主要从事生物炭环境地球化学行为及环境效应的研究。以第一作者在GCB、SBB、EST、CEE等期刊上发表学术论文19篇(含共一3篇),1篇封面文章,1篇入选ESI高被引论文,引用800次,H指数17。主持国家自然科学基金青年项目、博士后基金站中特别资助、博士后基金面上项目。曾获宝钢优秀学生特等奖、北京市优秀毕业生、北师大优秀博士学位论文等荣誉。通讯作者:孙可,北京师范大学环境学院教授、博士生导师,国家杰出青年基金、国家优秀青年科学基金和北京市杰出青年基金获得者。主要从事生物炭环境地球化学行为及环境效应的研究。在GCB、SBB、EST等期刊上发表高质量SCI论文130余篇,他引7000余次,H指数51,5篇论文入选ESI高引论文。高群,北京师范大学环境学院副教授,主要从事土壤微生物学研究。相关研究成果在PNAS、Nature Communications(2篇)等国际期刊发表高质量SCI论文40篇,引用1200余次,H指数21。授权国家专利2项。荣获中国微生物生态青年科技创新优秀奖,入选中国科协青年人才托举工程及中国科协“未来女科学家计划”。01背景土壤有机碳(SOC)的温度敏感性(Q10)是调控土壤-气候反馈的关键...
  • 点击次数: 0
    2025 - 09 - 04
    土壤中隐藏着一种特殊的"身份证"——氨基糖,它能准确告诉我们土壤中微生物的活动痕迹。栢晖作为一家专业检测团队,我们每天都要处理几十份土壤样品,很多科研工作者对氨基糖检测有一些疑问。今天我们就一起看看吧~为什么氨基糖检测如此重要?土壤氨基糖是一类含有氨基和羟基的糖类化合物,主要来源于微生物细胞壁的残留物。它们就像微生物在土壤中留下的"指纹",具有三大独特价值:稳定性高:能在土壤中长期保存,不易降解来源明确:不同氨基糖代表不同微生物来源(如真菌/细菌)指示性强:通过各组分的比值能反映微生物群落变化常见的四种氨基糖各司其职:氨基葡萄糖:主要来自真菌氨基半乳糖:细菌和部分真菌来源胞壁酸:细菌特有标志物氨基甘露糖:辅助判断微生物群落结构解密GC-MS检测全流程在栢晖实验室,我们采用气相色谱-质谱联用技术(GC-MS)进行氨基糖检测,整个过程犹如一场精密的"分子侦探"行动:第一步:酸水解破壁称取0.5-1.0g土样,加入6mol/L盐酸,在105℃烘箱中水解8小时。这个步骤就像打开微生物的"保险箱",将结合态的氨基糖释放出来。第二步:多重净化除杂通过旋蒸、pH调节、离心等步骤去除干扰物。特别是采用甲醇溶解和氮吹浓缩,确保目标物质纯度。这个阶段堪称实验成败的关键,我们的技术员需要像"分子厨师"一样精准把控每个参数。第三步:衍生化处理加入衍生试剂后,在80℃水浴中进行两步衍生反应。这一步让氨基糖"穿上检测外衣",变得容易被仪器识别。实验记录显示,衍生时间相差5分钟就可能导致10%以上的结果偏差。第四步:GC-MS分析将处理好的样品注入气相色谱-质谱联用仪,通过保留时间和特征离子进行定性与定量分析。我们的仪器可以检测到ppb级别的氨基糖含量,灵敏度堪比"分子显微镜...
文体活动 MORE+
案例名称: 孵化中心
说明: 栢晖生物科技有限公司项目孵化中心成立于2015.06.01日,研发领域涉及生物试剂耗材、仪器、新产品开发及各生物科技服务类项目等。自成立以来,陆续吸引了大批专家教授加盟合作,并与全国数十家高校及知名企业建立了良好的合作关系。中心共有博士及以上学位骨干人员10人,专门负责公司新产品研发等工作,已成功研发出无线温度监控器及NO检测试剂盒等产品(详情见成功案例),另有细胞分选仪等三个项目正在积极孵化当中。
2017 - 05 - 31
案例名称: 孵化中心流程
说明:
2017 - 07 - 17
微信公众号
检测咨询热线
 
地址:四川省成都市成华区成宏路72号-四川检验检测创新科技园2号楼4层
          湖南省长沙市芙蓉区雄天路98号广发隆平创业园2栋6002
官方热线:028 8525 3068
投诉电话:18181920125
传真:+86 0755-2788 8009
Copyright ©2005 - 2013 成都栢晖生物科技有限公司
犀牛云提供企业云服务