028-8525-3068
新闻动态 News
News 行业新闻

GCB| 溶解性有机质化学多样性对大陆尺度森林土壤微生物多样性的影响

日期: 2025-07-15
标签:
GCB| 溶解性有机质化学多样性对大陆尺度森林土壤微生物多样性的影响



——文献解读

原名:Effects of DOM Chemodiversity on Microbial Diversity in Forest Soils on a Continental Scale

译名:溶解性有机质化学多样性对大陆尺度森林土壤微生物多样性的影响

期刊:Global Change Biology

IF:12.05

发表日期:2025年3月

通讯作者:王超(中国科学院沈阳应用生态所)

01
背景

土壤溶解性有机质(DOM)是森林生态系统中碳和养分的关键储库,在碳循环和微生物群落动态中起着核心作用。然而,DOM 分子水平多样性(化学多样性)对微生物群落多样性和空间分布的影响仍知之甚少。


02
关键问题

(1)大规模森林生态系统中土壤 DOM 组分的组成和多样性特征是什么?

(2)除了已确定的因素如土壤 pH 和温度外,DOM 的多样性和分子组成能否增强对微生物群落多样性模式的解释力?


03
材料与方法

(1)从中国东部南北样带的 11 个森林站点采集土壤样品。在每个站点从5个亚样地(20×20 m)的上层 10 cm 土壤中采集土壤样品,总共 55 份。过10目筛以去除根系和碎屑。

(2)测定指标:pH、含水量、TN、SOC、TP、DOC、DON、DOM、16S rRNA测序,ITS测序。


04
结果

(1)55 个森林土壤样品中,共鉴定出 10826 种独特的分子式。通过峰强度加权计算得出的 DOM 分子式范围为 C17.9418.99H16.6119.98N0.43-0.66O9.36-9.88S0.04-0.10。DOM 的分子量在 398 至 413 Da 之间。DOM 的平均双键当量在 9.4 至 10.8 之间,平均修正芳香性指数(AIₘₒd)在 0.38 至 0.49 之间。


(2)土壤 DOM 分子多样性和丰富度沿森林样带从北到南大致呈钟形曲线分布,且在不同采样点之间存在显著差异(图 1a、b)。NMDS 分析进一步表明,DOM 组成存在显著差异,且 DOM 组成与年平均温度(MAT)之间存在高度显著的关联(图 1c)。类木质素化合物在 DOM 分子式中占主导地位(图 1d)。

GCB| 溶解性有机质化学多样性对大陆尺度森林土壤微生物多样性的影响


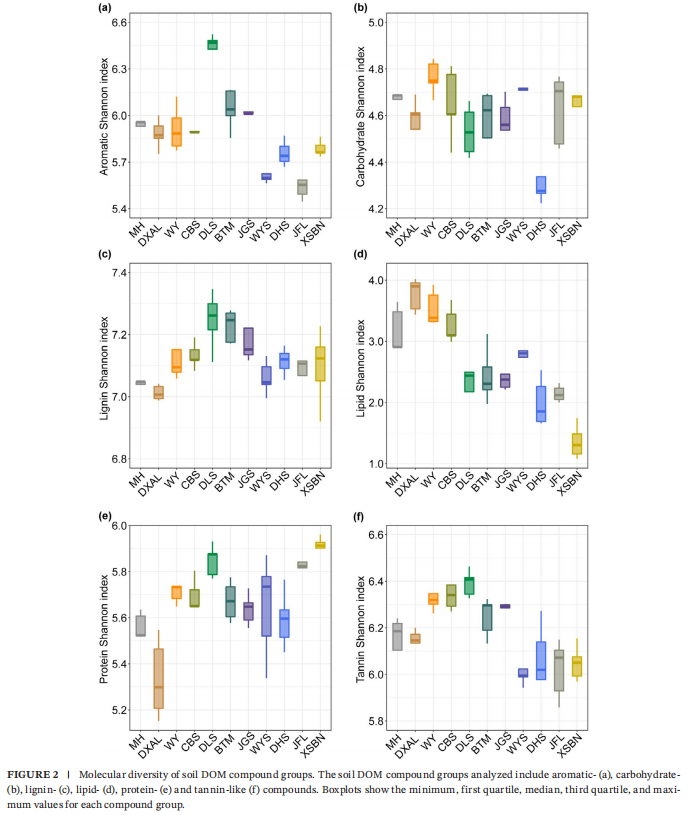
(3)各 DOM 化合物组的多样性和丰富度在不同站点之间存在显著差异。类芳香族、类木质素、类蛋白和类单宁化合物的多样性沿研究样带从北到南呈现非线性模式。类脂化合物的多样性显著下降,而类碳水化合物化合物组的多样性未观察到明显模式(图 2)。

GCB| 溶解性有机质化学多样性对大陆尺度森林土壤微生物多样性的影响


(4)经过扩增子测序获得了 23472 个土壤细菌 ASV。这些 ASV 被聚类为 40 个门,其中丰度最高的三个门分别是变形菌门、酸杆菌门和放线菌门(图 3a)。土壤真菌群落,共获得 5934 个 ASV,聚类为 15 个门。在门水平上,优势真菌门为子囊菌门、担子菌门和被孢霉门(图 3d)。


(5)细菌和真菌群落的香农指数在不同站点之间存在显著差异(图 3b 和图 3e)。此外,NMDS 和相关性分析表明,土壤 pH(图 3c)和年平均温度(MAT)(图 3f)分别对细菌和真菌群落组成有显著影响。

GCB| 溶解性有机质化学多样性对大陆尺度森林土壤微生物多样性的影响


(6)相关性分析表明,DOM 分子多样性与细菌群落多样性呈显著正相关,而与真菌群落多样性仅呈弱相关。在同时考虑气候和土壤预测因子时,最佳线性模型显示,土壤 pH 和类脂化合物的化学多样性是预测细菌多样性的两个最重要因素(图 4b)。此外,土壤性质和 DOM 组分的化学多样性分别解释了 65.5% 和 32.0% 的细菌多样性变异(图 4a)。对于真菌多样性,年平均温度(MAT)以及类碳水化合物、类单宁、类芳香族和类脂化合物组的多样性是显著的预测因子(图 4d)。此外,DOM 组分的化学多样性解释了 69.3% 的真菌多样性变异,而气候解释了 20.1%(图 4c)。

GCB| 溶解性有机质化学多样性对大陆尺度森林土壤微生物多样性的影响


(7)结构方程模型(SEM)分析进一步揭示,气候和土壤性质主要通过与 DOM 组分的相互作用影响微生物多样性。例如,年平均温度(MAT)通过类脂化合物的多样性对细菌多样性产生间接影响(图 5a),而土壤 pH 通过类脂和类芳香族化合物的多样性对真菌多样性产生间接影响(图 5c)。此外,当从结构方程模型中去除 DOM 化合物后,模型的预测能力显著下降,表现为 R² 值降低和 AIC 值升高(图 5b、d)。

GCB| 溶解性有机质化学多样性对大陆尺度森林土壤微生物多样性的影响


(8)在细菌系统发育树中,共包含 1239 个 ASV(图 6a)。这些 ASV 中的大多数与类蛋白和类碳水化合物化合物相关,分别占 ASV 总数的 44.2% 和 78.6%。在第一个典型轴上表现出显著负相关的细菌类群中,最丰富的类群属于变形菌门、酸杆菌门和放线菌门(图 6)。

GCB| 溶解性有机质化学多样性对大陆尺度森林土壤微生物多样性的影响

05
结论

本研究发下不同地点的土壤 DOM 化学多样性存在显著差异,其随纬度变化呈现先增加后减少的趋势。此外,DOM 组分的生物地理分布对细菌和真菌多样性的影响存在差异:类脂化合物与细菌多样性密切相关,而类芳香族、类碳水化合物和类脂化合物则主要影响真菌多样性。线性模型和结构方程模型均表明,DOM 作为关键中介,介导了温度和土壤性质对微生物空间分布的作用。本研究结果强调了 DOM 分子特征在塑造微生物群落结构和功能中的重要性,为理解环境因素如何影响森林生态系统中的微生物生态系统和土壤碳循环提供了新视角。



  • 最新资讯 MORE+
  • 点击次数: 0
    2025 - 10 - 10
    13C固体核磁共振方法简述为了提高固体核磁共振测定的精确度,土壤样品在进行核磁共振分析前先用氢氟酸(HF)进行预处理。预处理方法如下:称量8克土壤样品于100mL塑料离心管中,加50mLHF(体积分数10%)溶液,摇床上振荡1h(25℃,200r/min),离心机上3800 r/min离心5min,弃去上清液,残余物继续用HF溶液处理。共重复处理8次,摇床时间依次是:第1-4次1h,第5-7次12h,最后1次24h。处理过后的残余物用蒸馏水清洗后以除去其中的HF溶液,方法如下:加50mL蒸馏水,振荡10min,离心5min(3800r/min),去掉上清液,整个过程重复4次。残余物在40℃的烘箱中烘干,过60目筛后置于密室袋中,备NMR上机测定。数据示例点击放大查看红外光谱方法简述土壤样品的光谱特征使用傅立叶变换红外吸收光谱进行分析。将干燥的样品与干燥的KBr(样品:KBr = 1:80的比例)在玛瑙研钵中汇合均匀并研磨至粉末状(粒度 < 2 μm),压成透明薄片。用傅立叶变换红外光谱仪(Spectrum 100; PerkinElmer, MA, USA)扫描测定并记录其光谱。光谱数据进一步用Omnic 8.3软件(Thermo Nicolet Corporation, USA)分析。根据前人的研究,我们选择了4个波峰区域来分析土壤C官能团特征并计算峰面积比:alkyl-C(2985 - 2820 cm-1);aromatic C=C(1800 - 1525 cm-1); O-alkyl-C(1185 - 915 cm-1) and aromatic CH(855 - 740 cm-1)(Pengerud et al., 2013)。基于峰面积比,我们计算了土壤SOM的疏水性指数(HI,alkyl-C/SOC)和芳香度指数(AI,alkyl-C/O-alkyl-...
  • 点击次数: 0
    2025 - 09 - 29
    BAIHUI文献解读原名:Heavy metal contamination threats carbon sequestration of paddy soils with an attenuated microbial anabolism.译名:重金属污染威胁水稻土壤的碳封存,微生物分解代谢减弱。期刊:GeodermaIF:6.6发表日期:2025.8第一作者:熊丽 江西省农业科学院土壤与肥料及资源环境研究所(熊丽课题组)01背景耕地中的土壤有机碳(SOC)不仅是土壤肥力和生产力的基础,更在缓解气候变化中发挥着重要作用——仅表层1米的土壤中就储存着全球SOC总量的近10%。SOC的生态功能主要取决于其循环转化与长期存留能力,而这些过程极易受到重金属污染等环境压力因素的显著影响。近百年来人类活动的密集开发,使农田土壤重金属污染日益严重,已成为威胁土壤健康和粮食安全的全球性问题。作为土壤碳循环的主要调控者, 微生物如同“针眼”般精准调控着有机质碳的转化过程,且对重金属具有高度敏感性。因此,重金属污染对微生物介导SOC转化的影响正引发学界越来越多的关注。图1:研究区及沿县岔河13个采样点位置示意图02科学问题(1)重金属污染会降低微生物可利用碳元素(CUE)并加速生物量周转;(2)微生物合成代谢能力减弱将显著影响污染稻田土壤中有机碳的变化。03材料与方法(1)本次实地考察在自1934年开采至2020年关闭的小龙钨矿周边展开。属亚热带季风气候区,年均气温18.6℃,年均降水量1726毫米。 (2)水稻种植是该地区最主要的农业类型,采用典型的早稻-晚稻轮作制度。 (3)在河流上下游13个采样点采集土壤样本 (图1),每个采样点选取三块相邻的稻田作为三重复样本。每块稻田内设置五个2×2米样方,每个样方从表层(0-20厘米)随机采集五个直径2.5厘米的土...
  • 点击次数: 0
    2025 - 09 - 09
    原名:Aggregate size mediates the stability and temperature sensitivity of soil organic carbon in response to decadal biochar and straw amendments译名:团聚体尺寸调控长期生物炭与秸秆添加下土壤有机碳的稳定性及温度敏感性期刊:Soil Biology & BiochemistryIF:10.3发表日期:2025年9月3日BAIHUI ORGANISMS作者简介第一作者:陈雅兰,北京师范大学环境学院励耘博士后,师从孙可教授。主要从事生物炭环境地球化学行为及环境效应的研究。以第一作者在GCB、SBB、EST、CEE等期刊上发表学术论文19篇(含共一3篇),1篇封面文章,1篇入选ESI高被引论文,引用800次,H指数17。主持国家自然科学基金青年项目、博士后基金站中特别资助、博士后基金面上项目。曾获宝钢优秀学生特等奖、北京市优秀毕业生、北师大优秀博士学位论文等荣誉。通讯作者:孙可,北京师范大学环境学院教授、博士生导师,国家杰出青年基金、国家优秀青年科学基金和北京市杰出青年基金获得者。主要从事生物炭环境地球化学行为及环境效应的研究。在GCB、SBB、EST等期刊上发表高质量SCI论文130余篇,他引7000余次,H指数51,5篇论文入选ESI高引论文。高群,北京师范大学环境学院副教授,主要从事土壤微生物学研究。相关研究成果在PNAS、Nature Communications(2篇)等国际期刊发表高质量SCI论文40篇,引用1200余次,H指数21。授权国家专利2项。荣获中国微生物生态青年科技创新优秀奖,入选中国科协青年人才托举工程及中国科协“未来女科学家计划”。01背景土壤有机碳(SOC)的温度敏感性(Q10)是调控土壤-气候反馈的关键...
  • 点击次数: 0
    2025 - 09 - 04
    土壤中隐藏着一种特殊的"身份证"——氨基糖,它能准确告诉我们土壤中微生物的活动痕迹。栢晖作为一家专业检测团队,我们每天都要处理几十份土壤样品,很多科研工作者对氨基糖检测有一些疑问。今天我们就一起看看吧~为什么氨基糖检测如此重要?土壤氨基糖是一类含有氨基和羟基的糖类化合物,主要来源于微生物细胞壁的残留物。它们就像微生物在土壤中留下的"指纹",具有三大独特价值:稳定性高:能在土壤中长期保存,不易降解来源明确:不同氨基糖代表不同微生物来源(如真菌/细菌)指示性强:通过各组分的比值能反映微生物群落变化常见的四种氨基糖各司其职:氨基葡萄糖:主要来自真菌氨基半乳糖:细菌和部分真菌来源胞壁酸:细菌特有标志物氨基甘露糖:辅助判断微生物群落结构解密GC-MS检测全流程在栢晖实验室,我们采用气相色谱-质谱联用技术(GC-MS)进行氨基糖检测,整个过程犹如一场精密的"分子侦探"行动:第一步:酸水解破壁称取0.5-1.0g土样,加入6mol/L盐酸,在105℃烘箱中水解8小时。这个步骤就像打开微生物的"保险箱",将结合态的氨基糖释放出来。第二步:多重净化除杂通过旋蒸、pH调节、离心等步骤去除干扰物。特别是采用甲醇溶解和氮吹浓缩,确保目标物质纯度。这个阶段堪称实验成败的关键,我们的技术员需要像"分子厨师"一样精准把控每个参数。第三步:衍生化处理加入衍生试剂后,在80℃水浴中进行两步衍生反应。这一步让氨基糖"穿上检测外衣",变得容易被仪器识别。实验记录显示,衍生时间相差5分钟就可能导致10%以上的结果偏差。第四步:GC-MS分析将处理好的样品注入气相色谱-质谱联用仪,通过保留时间和特征离子进行定性与定量分析。我们的仪器可以检测到ppb级别的氨基糖含量,灵敏度堪比"分子显微镜...
文体活动 MORE+
案例名称: 孵化中心
说明: 栢晖生物科技有限公司项目孵化中心成立于2015.06.01日,研发领域涉及生物试剂耗材、仪器、新产品开发及各生物科技服务类项目等。自成立以来,陆续吸引了大批专家教授加盟合作,并与全国数十家高校及知名企业建立了良好的合作关系。中心共有博士及以上学位骨干人员10人,专门负责公司新产品研发等工作,已成功研发出无线温度监控器及NO检测试剂盒等产品(详情见成功案例),另有细胞分选仪等三个项目正在积极孵化当中。
2017 - 05 - 31
案例名称: 孵化中心流程
说明:
2017 - 07 - 17
微信公众号
检测咨询热线
 
地址:四川省成都市成华区成宏路72号-四川检验检测创新科技园2号楼4层
          湖南省长沙市芙蓉区雄天路98号广发隆平创业园2栋6002
官方热线:028 8525 3068
投诉电话:18181920125
传真:+86 0755-2788 8009
Copyright ©2005 - 2013 成都栢晖生物科技有限公司
犀牛云提供企业云服务