028-8525-3068
新闻动态 News
News 技术交流

土壤氨基糖实验方法介绍

日期: 2024-07-15
标签:

土壤氨基糖实验流程如下:

一、实验方法及原理

氨基糖在吡啶-甲醇溶液中,以 4-二甲氨基吡啶为催化剂的条件下与盐酸羟胺和乙酸酐发生糖腈乙酰酯反应, 所得衍生物可利用气相色谱测定。


二、实验步骤


2.1主要实验仪器  
GC(毛细管分流进样口, FID检测器)
鼓风烘箱(涵盖105℃,可定时8h)
涡旋混合仪(2850rpm)
离心机(50mL,3650rpm)
冷冻干燥机
水浴锅(45℃、80℃)
旋转蒸发仪(100mL,65℃)
离心机(5mL,8000rpm)

2.2 实验步骤
1、水解:称取约0.5~1.0g的土样于水解管中,沿管壁加入5 mL 6 mol/L盐酸,用氮气置换水解管中空气2min后密封。在烘箱中105℃放置8h水解。
2、净化:
a) 除酸:待水解液冷却至室温后,加入200μgN-甲基氨基葡萄糖(1mg/mL水溶液,200μL)。涡旋仪震荡30s混匀。取部分水解液于5mL离心管中,于8000rpm离心1min。取上清液2.5mL于50mL离心管中用氮气于65℃吹干。用25mL纯水溶解吹干后的残渣。加0.4mol/LKOH和0.01mol/LHCL调节pH至6.6~6.8。
b) 除盐:离心管以3000rpm离心5min,转移出上清液于100mL茄型瓶中,于65℃,25rpm旋转蒸发至干。再加入10mL无水甲醇分两次溶解瓶中残渣。后转移至另一50mL离心管。氮吹至5mL以下,涡旋溶解管壁有机物后,以4000rpm离心5min,除盐。将上清液转移到5mL衍生瓶中并加入100μg戊五醇(1mg/mL水溶液,100μL),于40℃氮气吹干。
3、标准样品制备:
同时准备3个标准样品。另取衍生瓶中加入100μL混标(1mg/mL的氨基葡萄糖、氨基半乳糖、氨基甘露糖,0.5mg/mL胞壁酸),100μgN-甲基氨基葡萄糖(1mg/mL水溶液,100μL),100μg戊五醇(1mg/mL水溶液,100μL),轻轻摇匀后,与样品衍生瓶一起吹干。
4、衍生:
a) 向吹干的样品和标准样品的衍生瓶中加入300μL衍生试剂(称取盐酸羟胺320mg,4-二甲基氨基吡啶400mg,用吡啶:甲醇=4:1(v:v)溶液溶解稀释至10ml)后盖紧。涡旋30s混匀。
b) 在80℃水浴35min,每5min震荡一次。冷却至室温后加入1mL醋酐,涡旋30s混匀后,在80℃水浴25min,每5min震荡一次。衍生管冷却至室温后加入1.5mL二氯甲烷,涡旋30s混匀。
5、衍生物净化:
a) 往衍生管中加入1mL1mol/LHCL(取6 mol/L盐酸约17mL,加水定容至100mL,摇匀)加盖密封后涡旋30s。静置分层后吸出上层无机相。
b) 改加1mL纯水,重复上述步骤3次。最后一次尽量吸出无机相。
c) 剩余有机相于44℃下氮吹干。然后溶解到300μL稀释剂(乙酸乙酯:正己烷=1:1(V:V)),然后转移到带内插管进样瓶中待测。


2.3色谱条件

土壤氨基糖实验方法介绍


2.4测定方法

依据保留时间一致性进行定性识别,单浓度内标法定量。根据标准样品的保留进间确定样品中目标物的色谱峰。以标准样品中N-甲基氨基葡萄糖与目标物的峰面积、实际量比值得出目标物质与内标物之间的校正参数。再根据样品中内标物峰面积与目标物峰面积计算得出样品中目标物的量,从而计算样品中目标物的含量。

因为对照品跟样品中加入了等量的戊五醇,因此根据对标准样品和样品中戊五醇的峰面积响应值之比计算样品中戊五醇的回收率来判断样品前处理过程的损失是否合理。



2.5计算方法
内标校正参数计算:
土壤氨基糖实验方法介绍
式中:
f——校正参数
A标——标准样品中目标标准物质峰面积;
m标——标准样品中目标标准物质的量,μg;


AN-甲基氨基葡萄糖——标准样品中N-甲基氨基葡萄糖标准物质峰面积;

mN-甲基氨基葡萄糖——标准样品中N-甲基氨基葡萄糖标准物质的量,μg。



样品含量计算:
土壤氨基糖实验方法介绍
式中:
w——样品中目标物质的含量,μg/g
f——校正参数
A样——样品中目标标准物质峰面积
m样——样品称样量,g


AN-甲基氨基葡萄糖——标准样品中N-甲基氨基葡萄糖标准物质峰面积

mN-甲基氨基葡萄糖——标准样品中N-甲基氨基葡萄糖标准物质的量,μg



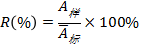
以戊五醇为目标物计算回收率:
土壤氨基糖实验方法介绍
式中:
R——戊五醇回收率,%;
A样——样品中戊五醇峰面积
A|样——标准样品中戊五醇峰面积的平均值


更多检测相关讯息so栢晖生物了解

  • 最新资讯 MORE+
  • 点击次数: 0
    2025 - 12 - 04
    CT技术是一种非破坏性三维成像技术,利用X射线扫描样品,通过重建算法生成样品内部结构的高分辨率三维图像。CT技术通过实现从土壤微观结构到植物器官内部形态的无损三维成像与定量分析,为土壤学、植物学及其界面过程的多尺度机制研究提供了前所未有的视角与方法支撑。 1.土壤应用方向分析:土壤孔隙结构与水分、气体运移土壤团聚体形成、稳定性及养分保持机制土壤动物活动痕迹及其对土壤结构的影响土壤-微生物空间分布与微生境分析 2.植物应用方向分析:植物根系构型、分布及其与土壤互作茎秆、叶片、种子、果实等器官的内部三维结构植物维管系统、孔隙网络与水分输导研究植物响应环境胁迫(如干旱、淹水、机械损伤)的结构变化 3. 土壤-植物交叉研究方向根-土界面互作过程与资源获取策略根系生长对土壤结构的塑造效应根际微域中水分、养分与微生物的空间异质性植物根系与土壤动物、微生物的互作可视化如下是土壤、植物相关样品CT检测相关图例展示和相关分析介绍,如需检测该指标欢迎联系文末工作人员详细沟通~01土壤柱状样品 1、取样:用小铲子清除土壤表面的杂物,CT扫描原状土柱采集使用高强度抗压PVC管(高10 cm,内径5 cm)进行操作。取样前将PVC管一端打磨成刀刃状打入土中进行取样,采集深度为5-10 cm。采样完成后,用保鲜膜对PVC管进行密封用于Micro-CT扫描。 2、检测 Micro-CT扫描通过计算机控制射线源发出射线束,旋转样品台承载所取的原状土柱,以0.5°/s的速度旋转,平板探测器负责采集扫描获得的系列投影数据,最后计算机通过将采集到的投影数据重建为土壤的横切片图像,每个样品可重建出大概1600张横切面图像。扫描过程中电压最大为160 kV和电流50 μA左右,扫描精度为25.5 μm。 3、图像分析 ...
  • 点击次数: 0
    2025 - 11 - 24
    土壤是一个复杂的三相(固、液、气)多孔介质,其物理结构(如团聚体、孔隙度)是一切生命活动的基础。微塑料的存在会改变孔隙结构、影响水分运移、影响气体交换等等,它可以吸附环境中的重金属、持久性有机污染物等,成为这些有毒物质的“载体”,改变它们在土壤中的分布和生物有效性,加剧复合污染。微塑料的测定方法主要有上述提到的光谱法、显微分析法和热裂解法等,如下是热裂解测定方法介绍。BAIHUI微塑料定性定量测定分析可测定12种主要微塑料!聚乙烯(PE)、聚丙烯(PP)、聚苯乙烯(PS)、丙烯腈-丁二烯-苯乙烯树脂(ABS)、丁苯橡胶(SBR)、聚甲基丙烯酸甲酯(PMMA)、聚碳酸酯(PC)、聚氯乙烯(PVC)、聚氨酯(PU:MDI型)、聚对苯二甲酸乙二醇酯(PET)、尼龙6(N6)、尼龙66(N66)01微塑料测定流程方法简述:称取过2 mm筛的风干土壤5 g于250 mL烧杯中,加入50 mL饱和氯化钠溶液,磁力搅拌30 min。静置3 h,悬浮上清液倒入250 mL烧杯。改用50 mL ZnCl2(密度约1.6 g/cm3)浮选一次,磁力搅拌30 min,静置3 h,上清液倒入前述250 mL烧杯。将250 mL烧杯中液体用不锈钢滤膜抽滤,收集滤膜,加30 mL过氧化氢,超声10 min, 60 ℃加热24 h。收集溶液,用不锈钢滤滤膜抽滤,收集滤膜,晾干备用。将滤膜放入烧杯,加有机溶剂,超声10 min,溶剂浓缩至1 mL。取50 μL至80 μL裂解样品杯,通风橱内挥干,加CaCO3稀释剂2 mg,少量玻璃棉覆盖,待测。校准曲线绘制称取以CaCO3稀释剂为基质的微塑料标准物质(12种微塑料),0.1、0.5、1.0、2.0、4.0 mg,加入至裂解样品杯中,少量玻璃棉覆盖,配制成标准系列。02测定结果展示03分析软件-F-Sear...
  • 点击次数: 0
    2025 - 11 - 05
  • 点击次数: 0
    2025 - 10 - 10
    13C固体核磁共振方法简述为了提高固体核磁共振测定的精确度,土壤样品在进行核磁共振分析前先用氢氟酸(HF)进行预处理。预处理方法如下:称量8克土壤样品于100mL塑料离心管中,加50mLHF(体积分数10%)溶液,摇床上振荡1h(25℃,200r/min),离心机上3800 r/min离心5min,弃去上清液,残余物继续用HF溶液处理。共重复处理8次,摇床时间依次是:第1-4次1h,第5-7次12h,最后1次24h。处理过后的残余物用蒸馏水清洗后以除去其中的HF溶液,方法如下:加50mL蒸馏水,振荡10min,离心5min(3800r/min),去掉上清液,整个过程重复4次。残余物在40℃的烘箱中烘干,过60目筛后置于密室袋中,备NMR上机测定。数据示例点击放大查看红外光谱方法简述土壤样品的光谱特征使用傅立叶变换红外吸收光谱进行分析。将干燥的样品与干燥的KBr(样品:KBr = 1:80的比例)在玛瑙研钵中汇合均匀并研磨至粉末状(粒度 < 2 μm),压成透明薄片。用傅立叶变换红外光谱仪(Spectrum 100; PerkinElmer, MA, USA)扫描测定并记录其光谱。光谱数据进一步用Omnic 8.3软件(Thermo Nicolet Corporation, USA)分析。根据前人的研究,我们选择了4个波峰区域来分析土壤C官能团特征并计算峰面积比:alkyl-C(2985 - 2820 cm-1);aromatic C=C(1800 - 1525 cm-1); O-alkyl-C(1185 - 915 cm-1) and aromatic CH(855 - 740 cm-1)(Pengerud et al., 2013)。基于峰面积比,我们计算了土壤SOM的疏水性指数(HI,alkyl-C/SOC)和芳香度指数(AI,alkyl-C/O-alkyl-...
文体活动 MORE+
案例名称: 孵化中心
说明: 栢晖生物科技有限公司项目孵化中心成立于2015.06.01日,研发领域涉及生物试剂耗材、仪器、新产品开发及各生物科技服务类项目等。自成立以来,陆续吸引了大批专家教授加盟合作,并与全国数十家高校及知名企业建立了良好的合作关系。中心共有博士及以上学位骨干人员10人,专门负责公司新产品研发等工作,已成功研发出无线温度监控器及NO检测试剂盒等产品(详情见成功案例),另有细胞分选仪等三个项目正在积极孵化当中。
2017 - 05 - 31
案例名称: 孵化中心流程
说明:
2017 - 07 - 17
微信公众号
检测咨询热线
 
地址:四川省成都市成华区成宏路72号-四川检验检测创新科技园2号楼4层
          湖南省长沙市芙蓉区雄天路98号广发隆平创业园2栋6002
官方热线:028 8525 3068
投诉电话:18181920125
传真:+86 0755-2788 8009
Copyright ©2005 - 2013 成都栢晖生物科技有限公司
犀牛云提供企业云服务