028-8525-3068
新闻动态 News
News 行业新闻

文献解读| 无机碳(SIC)向有机碳(SOC)的转化增强了青藏高原高寒生态系统的土壤固存和土壤结构稳定性

日期: 2024-07-01
标签:
文献解读| 无机碳(SIC)向有机碳(SOC)的转化增强了青藏高原高寒生态系统的土壤固存和土壤结构稳定性

原名:Conversion of SIC to SOC enhances soil carbon sequestration and soil structural stability in alpine ecosystems of the Qinghai-Tibet Plateau.

译名:无机碳(SIC)向有机碳(SOC)的转化增强了青藏高原高寒生态系统的土壤固存和土壤结构稳定性。

期刊:Soil Biology and Biochemistry

IF:9.7

发表日期:2024.8(网络首发2024.5)

第一作者:马云桥 青海大学高原生态与农业国家重点实验室(李希来课题组)

一、背景

陆地生态系统储存了大量的有机碳(SOC)和无机碳(SIC),土壤有机碳和土壤无机碳由非生物和微生物因素驱动具有潜在动态相互关系,对土壤结构和固碳有重要影响(图1)。同时青藏高原约占国土面积的五分之一,是我国巨大的碳库,因此对该区域生物和非生物因子介导的土壤有机碳和无机碳动态转化过程和机制研究显得尤为重要。

文献解读| 无机碳(SIC)向有机碳(SOC)的转化增强了青藏高原高寒生态系统的土壤固存和土壤结构稳定性

图1 微生物驱动的有机碳和无机碳周转关系示意图

二、科学问题

1)评估不同空间尺度下不同植被类型中聚集体的组成和稳定性;

(2)量化SOC、MBC、DOC、SIC和碳水解酶酶活性(α-葡萄糖苷酶和β-葡萄糖苷酶)的分布,以及不同植被类型不同土壤团聚体中细菌和真菌群落的组成和多样性;

(3)分析调控团聚体内SOC和SIC动态转化的主要生物和非生物因子,以约束土壤团聚体形成与土壤碳库动态转化的关系。


三、材料与方法

(1)研究地点位于中国青海省河南-蒙古自治县(北纬34°05′-34°56′,东经100°53′-102°16′),海拔范围3400-4200米。

(2)MS代表高寒草甸阳坡,SS代表高寒草甸阴坡,WR代表河滨湿地。每种地形的优势植物机水汽条件有所不同(表1)。

(3)设置样地并用5cm土钻取土,并将土壤分成不同粒径(图2)。

(4)测定指标:pH、SWC、STC、DOC、SOC、SIC、MBC、AG、BG、16s rRNA、ITS。

表1 不同地形基本特征

文献解读| 无机碳(SIC)向有机碳(SOC)的转化增强了青藏高原高寒生态系统的土壤固存和土壤结构稳定性


文献解读| 无机碳(SIC)向有机碳(SOC)的转化增强了青藏高原高寒生态系统的土壤固存和土壤结构稳定性

图2 样地和采样示意图


四、结果

(1)坡向和坡位对土壤团聚体分布和稳定性有显著影响(p<0.05),ms的大粒团聚体(>2 mm)主要向(<0.25>2 mm)主要向2 ~ 0.053 mm粒径转移,这导致阳坡和阴坡的MWD由上至下逐渐减小,但均显著高于滨江(图3)

文献解读| 无机碳(SIC)向有机碳(SOC)的转化增强了青藏高原高寒生态系统的土壤固存和土壤结构稳定性

图3青藏高原MS、WR和SS上、中、底位置土壤团聚体分布(a)和团聚体平均重径(b)


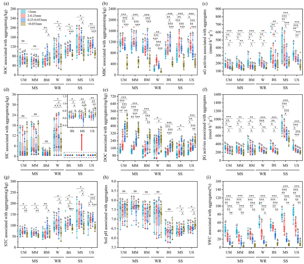
(2)土壤的生物和非生物性质随坡向、坡位和团聚体粒径的变化而变化(图4)。

文献解读| 无机碳(SIC)向有机碳(SOC)的转化增强了青藏高原高寒生态系统的土壤固存和土壤结构稳定性

图4 青藏高原MS、WR和SS上部、中部和底部土壤团聚体的生物和非生物特性


(3)细菌多样性高于真菌多样性,对环境因素的敏感性较低。优势菌群的丰度分布不均,主要受坡位、坡向和团聚体粒径分数的影响。

文献解读| 无机碳(SIC)向有机碳(SOC)的转化增强了青藏高原高寒生态系统的土壤固存和土壤结构稳定性

图5 弦线图显示青藏高原阳坡、阴坡和河滨的大小组分团聚体在门水平上的主要细菌(a)和真菌(c)的相对丰度。NMDS结果显示了土壤细菌(b)和真菌(d)微生物群落的变化


(4)根据相关性分析发现,团聚体中细菌和真菌收到土壤理化性质的显著影响,其中pH显著影响细菌和真菌的群落组成和群落多样性。

文献解读| 无机碳(SIC)向有机碳(SOC)的转化增强了青藏高原高寒生态系统的土壤固存和土壤结构稳定性

图6 影响青藏高原MS、SS和WR不同大小组分细菌(a)和真菌(b)群落组成和多样性的土壤生物和非生物因子环境因素之间的相关性


(5)pH与STC、SOC、AG、BG、SWC和Chao1指数呈显著指数负相关;在MS、SS和WR不同位置的所有团聚体中,与SIC、DOC和Shannon指数呈指数正相关。由拟合方程可以看出,pH对酸性土壤(pH < 7)STC、SOC、AG、BG和Chao1的影响显著大于碱性土壤(pH > 7),而对SIC和DOC的影响则相反。

文献解读| 无机碳(SIC)向有机碳(SOC)的转化增强了青藏高原高寒生态系统的土壤固存和土壤结构稳定性

图7 pH和其他环境因子的回归分析图


(6)pH通过调节团聚体内的酶活性和微生物群落,促进无机碳向有机碳的转化,从而扩大土壤“碳汇”的规模,减少二氧化碳的排放。

文献解读| 无机碳(SIC)向有机碳(SOC)的转化增强了青藏高原高寒生态系统的土壤固存和土壤结构稳定性

图8 pH调节下微生物驱动的无机碳和有机碳动态转化与土壤团聚体周转的协调示意图


五、结论

(1)小团聚体(主要为<0.053 mm)的微生物活性最低,而溶解有机碳(DOC)、SIC和pH值则相反。

(2)细菌多样性大于真菌多样性,对环境因素的敏感性较低,优势门丰度主要受坡度影响,团聚体大小对群落结构的影响分布不均。

(3)高寒山地的有机碳周转效率依次为向阳坡高寒草甸(MS)>河滨高寒湿地(WR)>阴坡高寒草甸(SS),粉砂+黏土组分>大团聚体>微团聚体。

(4)pH值是土壤团聚体中微生物驱动的有机-无机碳动力学的主要非生物调节因子。pH随粒径的增大抑制了酶活性,降低了细菌群落组成和多样性,然而真菌群落组成降低,真菌群落多样性增加,促进了MBC、DOC和SIC向SOC过渡。这导致土壤团聚体中储存的总碳增加,从而促进了土壤大团聚体结构及其稳定性。


更多相关检测信息搜栢晖生物了解更多。

  • 最新资讯 MORE+
  • 点击次数: 0
    2026 - 05 - 21
    华南植物园鲁显楷研究员团队在《全球变化生物学》发表最新研究,通过长达20年的野外氮添加试验,发现长期高氮沉降不但未减少热带森林植物地下碳分配,反而驱动植物上调根系分泌物来活化土壤磷,为破解热带森林碳汇维持之谜提供关键机制。 近半个世纪多以来,全球氮沉降持续加剧扰乱了生态系统的氮磷平衡,尤其是在有效磷相对匮乏的热带亚热带地区。基于温带氮限制生态系统的大量经验研究,形成了经典认知:施氮会缓解植物对氮的竞争,从而减少光合产物向地下的分配,尤其降低根系分泌物的释放。然而,这一范式能否直接套用于“富氮”但磷匮乏的热带亚热带森林,长期缺乏实验证据,这成为预测高氮沉降背景下森林碳-磷反馈与生态系统稳定性的关键认知瓶颈。为了破解这一瓶颈,研究团队于2002年在广东鼎湖山国家级自然保护区原始林(季风常绿阔叶林)建立了长期连续氮添加实验样地(4种梯度:0,50,100和150 kg N ha⁻¹ year⁻¹),系统探讨了热带森林植物如何通过调节根系分泌物及其介导的土壤磷动态来适应长期高氮沉降。研究发现,面对长期氮沉降引发的土壤有效氮磷失衡,热带森林植物并未“吝啬”其碳资源,反而进化出了一种积极的适应机制:一是通过提高根系分泌物碳输入速率,激发微生物磷酸酶活性,加速有机磷矿化;二是增强有机酸释放,促进矿物结合态磷的溶解。其中,有机酸途径起主导作用,其驱动的磷释放约为磷酸酶途径的2倍。这些结果表明,持续高氮沉降下,热带森林植物可通过“支付”更多的光合碳产物,换取维持生长所必需的磷,建立起了“根系分泌物-土壤磷活化”的正反馈循环。该研究首次证实热带植物能通过上调根系分泌物释放来适应长期高氮沉降,修正了“氮沉降导致地下碳分配减少”的传统观点。这一发现不仅解释了热带“富氮”森林如何维持高生产力与稳定性,还表明生态系统在面对长期环境压力时可能拥有更复杂的主动适应策略,这对预...
  • 点击次数: 0
    2026 - 05 - 20
    文献信息:原名:Mycorrhizal Type Defines Priming Effects in Organic and Mineral Forest Soils译名:菌根类型调控森林土壤有机层与矿质层的激发效应期刊:Global Change BiologyIF:12.0发表日期:2026年3月第一作者:柳雄辉 中南林业科技大学通讯作者:陈亮教授 中南林业科技大学 背景:森林土壤有机碳是陆地碳库的核心,其周转受微生物激发效应(新鲜碳输入改变原有SOC分解速率)的影响。丛枝菌根(AM)与外生菌根(ECM)树种会形成不同的土壤环境,显著影响碳库分布与稳定性。现有研究已证实菌根类型驱动土壤碳循环差异,但菌根类型如何在不同土壤深度上调控激发效应,目前尚不清楚。 研究目的:明确菌根类型(AM/ECM)如何调控森林土壤激发效应,以及这种调控是否存在土层深度依赖性。当前研究大多仅关注表层土壤,仍不清楚在有机层与矿质层中,菌根如何通过碳库稳定性、氮素有效性、微生物功能基因等途径差异调控激发效应,缺乏菌根类型与土层深度交互作用下土壤激发效应的机制解析。 实验设计:1、采样地点:中国湖南省长沙县大山冲森林公园(28°23′N,113°19′E)。该森林公园是中国东南部典型的亚热带天然林,年均降水量1416 mm,年均气温17.3℃,优势树种林龄约65 年,土壤类型为红色壤土。2、样地设置:根据菌根类型梯度设置27 个样地( 10 m×10 m ),分为三组:外生菌根(ECM)样地、丛枝菌根(AM)样地、混合样地。其中ECM 树种包括:青冈、石栎、马尾松、白栎等;AM 树种包括:日本杜英、香樟、南酸枣、杉木等。3、土壤采样:在每个样地分别采集0-10 cm有机表土和10-30 cm矿质下层土。每个样地设置 5 个采样点:中心 1...
  • 点击次数: 0
    2026 - 04 - 16
    文献信息原名:Continental-scale drivers of soil microbial extracellular polymeric substances译名:大陆尺度下土壤微生物胞外聚合物的驱动因素研究期刊:Nature CommunicationsIF:15.7发表日期:2026.03通讯作者:阮宏华教授作者单位:南京林业大学背景土壤微生物胞外聚合物(EPS)是由微生物分泌的多糖、蛋白质等生物聚合物组成的复杂混合物,在形成土壤团聚体、构建微生物生境以及推动碳循环等方面发挥着重要作用。EPS作为微生物残体的重要组成之一,可能通过促进团聚体形成和矿物-有机物质结合,有助于土壤有机碳的稳定。然而,目前关于EPS在大陆尺度下的分布规律,以及其如何受气候、地质条件和土地利用方式的影响,仍缺乏清晰认识。以往研究多局限于实验室或小范围样点,尚未在大尺度上开展系统性评估。科学问题(1)分布格局:在欧洲气候梯度下,土壤EPS含量的分布规律是什么?土地利用和母岩类型如何影响其分布?(2)碳贡献:EPS碳在土壤有机碳库中占有多大比例?其贡献率受哪些因素调控?(3)生理权衡:微生物分配给EPS的碳比例如何沿环境梯度变化?环境压力(如水分亏缺)如何调整微生物的碳分配策略?研究方法研究团队沿横跨欧洲大陆约5500公里的样带(从地中海延伸至亚北极)设置了92个采样点,采集矿质表层土壤(0–15 cm),覆盖碳酸盐岩、硅酸盐岩和沉积岩三种主要母岩类型,以及林地、草地和农田三种土地利用方式。采用阳离子交换树脂法提取土壤胞外聚合物(EPS),并分别以蒽酮法和改良Lowry法测定EPS多糖与蛋白质含量,结合元素分析估算其碳含量(EPS多糖含碳39.1%,EPS蛋白质含碳50.7%)。同时,通过18O标记法测定微生物生长速率与碳利用效率,利用氨基糖分析评估微生物坏死体碳含量,系统测定了气候(如...
  • 点击次数: 0
    2026 - 04 - 14
    文献信息期刊:Water Research(1区,12.4)作者:Longlong An, Shuqin He, Xin Song, Zicheng Zheng, Tingxuan Li, Le Ha单位:1. 四川农业大学资源学院;2. 四川农业大学林学院;3. 成都栢晖生物科技有限公司;4. 中国农业大学土地科学与技术学院,农业农村部华北耕地保育重点实验室01图文摘要02成果简介近日,四川农业大学资源学院何淑勤、郑子成教授团队在Water Research上发表了题为“Long-term fertilization regimes mitigate dissolved organic matter leaching and alter its chemodiversity in agricultural soil leachate”的研究论文(DOI: 10.1016/j.watres.2026.125762)。该研究基于长达10年的田间定位试验,结合土柱淋溶实验、光谱分析(EEM-PARAFAC)和超高分辨质谱(FT-ICR MS)技术,系统揭示了长期有机肥与秸秆配施(CFOS)对紫色土坡耕地土壤溶解性有机质(DOM)淋溶行为及化学多样性的调控机制。该研究为通过合理施肥实现“增碳减排”的农业可持续发展提供了坚实的理论依据性。03引言土壤溶解性有机质(DOM)是陆地碳库中最活跃的组分,其淋溶迁移不仅造成土壤碳损失,还可能引发水体污染。长期施肥,尤其是有机肥和秸秆还田,已被证实能显著提升土壤有机碳储量,但其对DOM淋溶的影响却存在争议——部分研究表明有机物料输入会加剧DOM损失,形成“增碳不减碳”的恶性循环。因此,寻找一种既能增加土壤碳库又能抑制DOM淋溶的施肥模式,成为农业可持续发展的迫切需求。西南紫色土区是我国重要的粮食生产基地,土壤贫瘠、降雨集中,DOM淋溶风险高。...
文体活动 MORE+
案例名称: 孵化中心
说明: 栢晖生物科技有限公司项目孵化中心成立于2015.06.01日,研发领域涉及生物试剂耗材、仪器、新产品开发及各生物科技服务类项目等。自成立以来,陆续吸引了大批专家教授加盟合作,并与全国数十家高校及知名企业建立了良好的合作关系。中心共有博士及以上学位骨干人员10人,专门负责公司新产品研发等工作,已成功研发出无线温度监控器及NO检测试剂盒等产品(详情见成功案例),另有细胞分选仪等三个项目正在积极孵化当中。
2017 - 05 - 31
案例名称: 孵化中心流程
说明:
2017 - 07 - 17
微信公众号
检测咨询热线
 
地址:四川省成都市成华区龙潭街道成业路7号联东U谷二期7栋10楼
          湖南省长沙市芙蓉区雄天路98号广发隆平创业园2栋6002
官方热线:028 8525 3068
投诉电话:18181920125
传真:+86 0755-2788 8009
Copyright ©2005 - 2013 成都栢晖生物科技有限公司
犀牛云提供企业云服务