原名:Accumulation of soil microbial extracellular and cellular residues during forest rewilding: Implications for soil carbon stabilization in older plantations
译名:人工林长期自然演化过程促进土壤微生物残留物碳的积累:老龄人工林土壤有机碳的固持作用
期刊:Soil Biology and Biochemistry
IF:9.7
发表时间:2023.11
第一作者:石 珂
通讯作者:阮宏华教授
森林是全球最大的陆地碳库,其中三分之二的碳储存在土壤中,在全球碳循环过程和应对全球气候变化中发挥至关重要的作用。然而,自上世纪以来,天然林以前所未有的速度消失,现存的天然林迫切需要保护,这导致了人工林的建立和迅速扩张。目前,为了帮助人工林提供多种生态系统服务,提倡减少人为干预以鼓励人工林的自然演化。然而,不同土壤有机碳组分对全球气候变化和人工林自然演替的响应存在差异。微生物残留物作为土壤有机碳(Soil organic carbon, SOC)的重要成分,其是否会随着林分发育而增加,对土壤有机碳库的贡献又如何变化仍不清楚。
该项研究将微生物残留物分为胞外残留物和胞内残留物,以胞外聚合物(Extracellular polymeric substance, EPS)作为胞外残留物的代表,以氨基糖为生物标识物衡量胞内残留物,研究了水杉人工林近40年(6 ~ 45年)的生长发育过程中微生物残留物的变化(图1)。

图1 土壤微生物残留物随林分发育的积累过程与机制假设
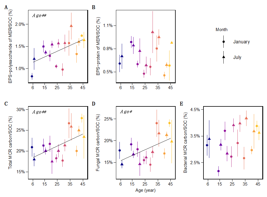
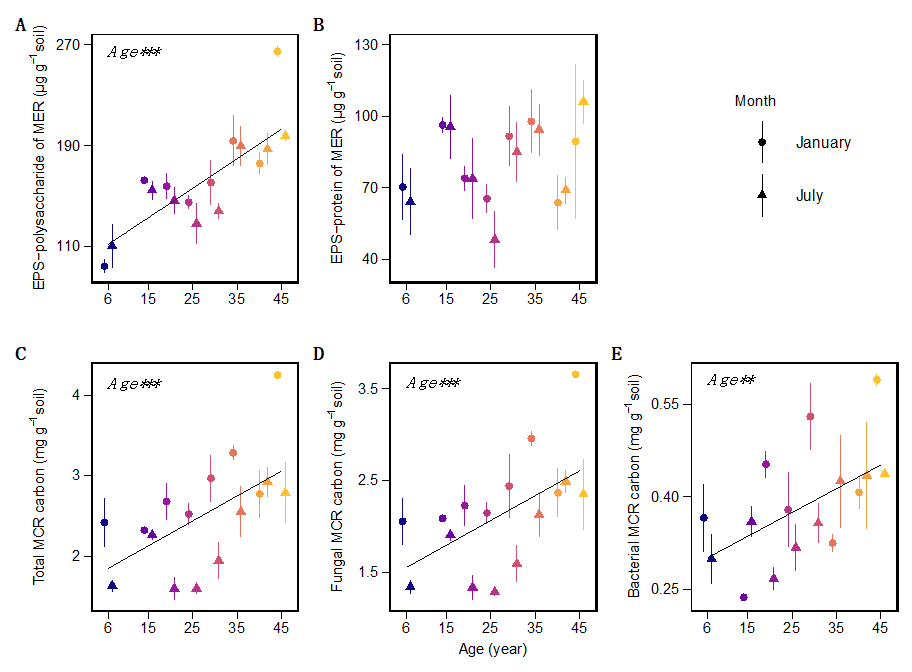
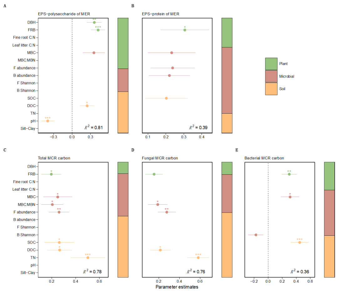
人工林的长期自然演化过程促进了土壤微生物残留物的线性积累,增加了其对土壤有机碳的贡献。其中,EPS-多糖增加了126.5%;总胞内残留物碳、真菌残留物碳和细菌残留物碳分别增加了73.4%、77.2%和54.3%(图2)。EPS-多糖和总胞内残留物碳对土壤有机碳的贡献分别增加了66.1%和32.1%(图3)。微生物胞外残留物和胞内残留物的主要驱动因子不同。细根生物量是胞外残留物的主要驱动因子,土壤氮和有机碳含量是胞内残留物的主要驱动因子(图4)。

图2 人工林林分发育及自然演化过程中土壤微生物残留物的变化

图3 人工林林分发育及自然演化过程中土壤微生物残留物对土壤有机碳的贡献

图4 人工林生长发育过程中土壤生物和物理化学因子对土壤微生物残留物的影响
该研究阐明了在人工林长期自然演化过程中,微生物胞外和胞内残留物可以在土壤中不断积累,初步揭示了人工林土壤稳定性有机碳积累的主要机制(图5),表明将这两种微生物残留物纳入土壤碳模型对预测全球气候变化非常必要。另外,从人工林管理实践方面,允许人工林长期自然演化、延长其轮伐期能促进土壤有机碳的固存和稳定,对提高人工林应对全球气候变化中的作用具有重要意义。

图5 人工林林分生长发育及自然演化过程中土壤微生物残留物积累的概念图
论文id:
https://doi.org/10.1016/j.soilbio.2023.109250