028-8525-3068
新闻动态 News
News 行业新闻

文献解读| 不同放牧强度下植物磷需求通过根系分泌物和菌根真菌刺激根际磷转移

日期: 2022-06-07
标签:

文献解读

原名:Plant phosphorus demand stimulates rhizosphere phosphorus transition by root exudates and mycorrhizal fungi under different grazing intensities

译名:不同放牧强度下植物磷需求通过根系分泌物和菌根真菌刺激根际磷转移

作者:Liangyuan Song,et al.

期刊:Geoderma

影响因子/分区:6.173/1区

发表时间:2022.05.30

1

关键词

● 放牧强度;补偿生长;根际;磷组分;根系分泌物;菌根真菌。

2

研究主题和背景

(1)背景:畜牧业生产导致的土壤侵蚀和磷(P)去除导致草原中磷的严重消耗。因此,了解植物如何应对这种磷限制条件以及不同放牧强度下土壤中哪些磷转变过程对于更好地科学管理放牧草地至关重要。

(2)主题:本研究进行了一项田间试验,测试了不同放牧强度(轻、中、重)和控制(不放牧)对中国内蒙古典型温带草原地区磷相关动态的影响。

3

科学问题或科学假说

(1)科学问题:放牧如何影响该地区土壤中磷的转化?其驱动因素是什么?

(2)科学假说:a.放牧强度越大,植物磷含量越低,初级生长力越低;b.LMWOAs和微生物(尤其是菌根真菌)共同促进了根际其它磷组分中不稳定磷的释放,从而缓解了随之而来的磷缺乏。

4

材料与方法

(1)本研究在内蒙古锡林浩特市中国农业科学院草地生态系统研究所(北纬44°15′,东经116°42′)进行。年平均0.7°C 的气温,年平均降水量为 300-360 mm。2014年6月开始大田放牧试验,设置4个处理,包括不放牧(对照)和3个放牧强度:(1)轻度放牧处理,每小区4只羊(T4);(2)中等放牧处理,每小区8只羊(T8);(3)重放牧处理,每小区12只羊(T12)。对照、T4、T8和T12处理下的放牧强度分别为每公顷0、0.75、1.50和2.25只羊单位。每个放牧强度随机分配到 1.33 公顷地块,总共 4 个处理 × 3 个重复 = 12 个地块;每个地块都被栅栏隔开。在每年的 6 月 10 日至 9 月 20 日的生长季节,羊被允许在这些地块上吃草。

(2)年初级生产力(APP)与群落组成:

文献解读| 不同放牧强度下植物磷需求通过根系分泌物和菌根真菌刺激根际磷转移

(3)土壤、植物和草食动物排泄物进行取样

2019年8月中旬,在植物生物量达到峰值时,采集羊草根际和非根际土壤、叶片和根部分以及绵羊粪便。在每个地块中,我们随机选择10种健康且具有代表性的羊草植物,从中收集根际土壤,然后将其混合到单个复合样本中,每个地块内共嵌套3个复合样本。从用于获取根际土壤的相同植物中采集叶片和根样本。在取样样方内采集植被的地上生物量时,采集粪便样本,所有样品立即储存在冰箱中,并转移到实验室进行分析。叶、根和粪便样本经过烘干和研磨,以测量其营养素浓度。每个土样都要通过一个2毫米的筛子,并挑根。每个土壤样品的一部分风干用以测量有效磷;干燥的根际土壤也进行了理化分析。另一部分保存在-20℃用于LMWOAs和微生物群落分析。

(4)植物养分、土壤有效磷与根际理化分析

TP通过浓缩 H2SO4 消化法测定,TN浓度使用 CN 分析仪;AP按Olsen法采用NaHCO3提取,根际土壤的粒度分布通过激光衍射测定。用 pH 计在 w/v = 1:2.5 的土壤:水溶液中测量根际 pH 值。SWC通过测量潮湿田间土壤在 105°C 下烘干48小时后的重量损失来确定的。使用TOC分析仪对根际土壤有机碳(SOC)进行量化。酸性磷酸酶(磷酸单酯酶)活性(AcPME)和碱性磷酸酶活性(AlPME)通过比色测定法测定土壤与磷酸对硝基苯酯(pNPP)在410 nm处释放的对硝基苯酚(pNP)的活性。pH 6.5和11的通用缓冲液 (MUB)。

(5)根际P组分:使用 Hedley(1982)等人的方法,由 Tiessen 和 Moir (1993)改进。

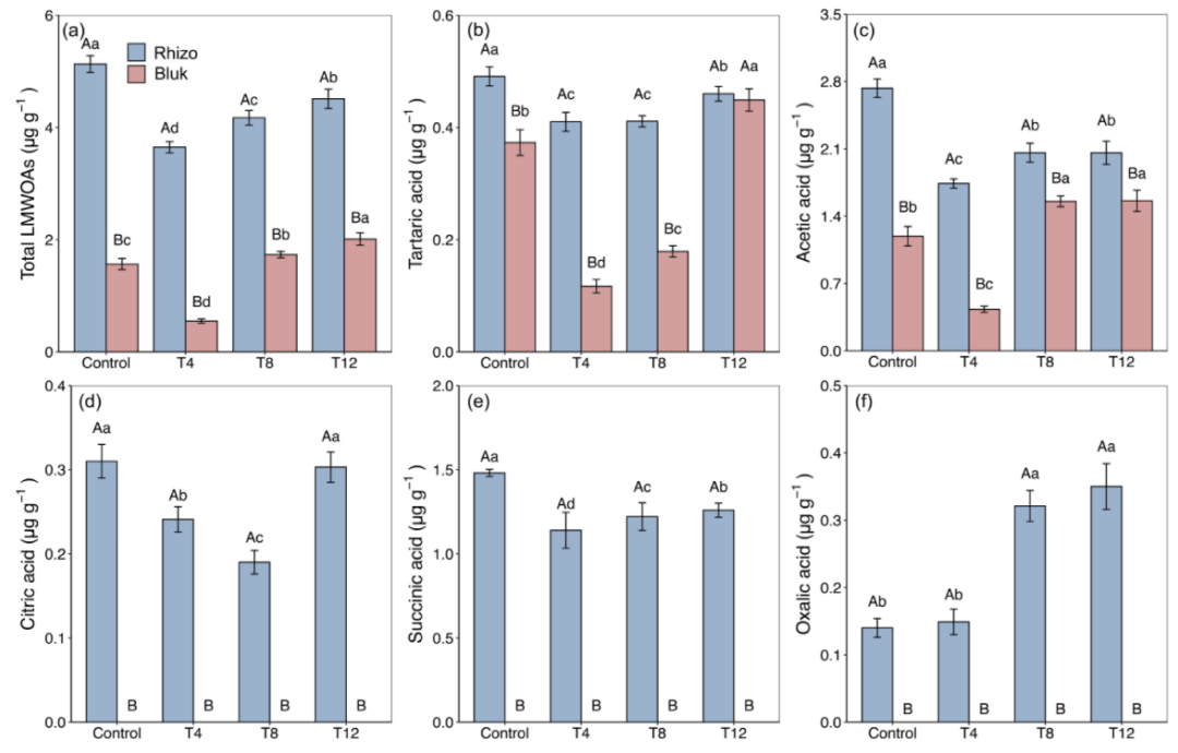
(6)土壤低分子量有机酸含量:草酸、丁二酸、乙酸、柠檬酸和酒石酸等5种特殊的LMWOAs。

(7)土壤微生物群落组成:PLFA, 微生物群落组成以真菌(AMF、EMF和其他真菌的生物量之和)与细菌(G+和G-细菌生物量之和)的生物量之和。

(8)数据分析

为了消除放牧强度处理之间总磷差异的影响,我们计算了不同磷组分在总磷中的比例。比较植物养分、土壤Olsen-P浓度、理化性质、磷的变化。放牧强度中的分数、LMWOA 浓度和微生物生物量,我们使用 R 软件中的“multcomp”包(v.4.1.1 )。在每种放牧处理下使用Student t检验比较根际和非根际土壤的参数平均值。Pearson 相关性用于评估根际理化性质、LMWOA 浓度、微生物生物量和 P 组分比例之间的关系。结构方程模型 (SEM) 用于揭示在强加放牧梯度下根际中不稳定 P 和有机 P 比例的动员机制。使用 R 中的“lavaan”和“semPlot”包构建模型。为了进一步阐明每种放牧强度处理下 P 动员的具体机制,应用了主成分分析 (PCA)。所有这些分析和相关数据分别在 R 软件中进行和绘制。

5

结果

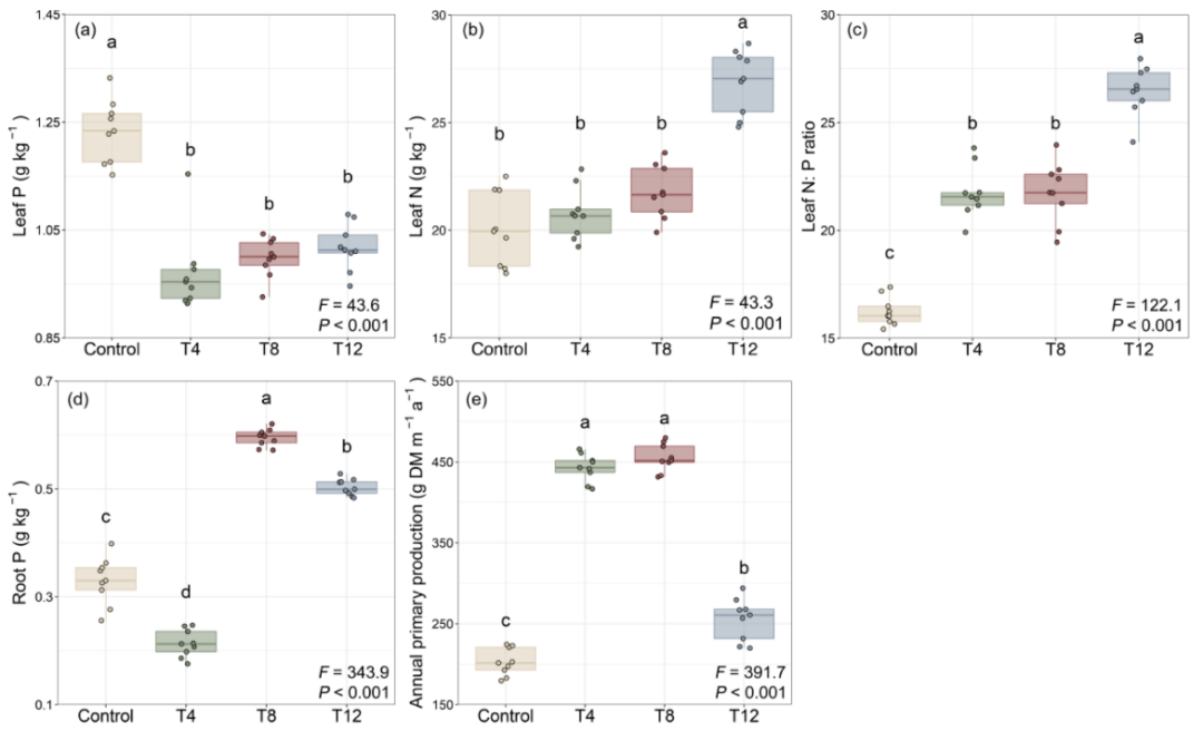
(1)植物养分、APP、土壤Olsen-P和根际P组分

与对照相比,放牧显著降低了羊草叶片的磷浓度(P<0.05)。相反,在T4和T8条件下,叶片氮浓度略有上升,而在T12条件下则显著上升(P<0.05)。随着放牧强度的增加,叶片氮磷比显著增加。与对照相比,T8和T12下的根磷浓度显著增加。所有放牧处理都显著增加了APP,在T4和T8条件下,羊草的优势度保持不变,而在T12条件下,羊草的优势度显著下降。在T12条件下,一年生草本植物的优势度显著增加(P<0.05)。放牧使土壤中Olsen-P浓度增加,尤其是根际Olsen-P浓度增加;根际土壤中的浓度显著高于非根际土壤中的浓度。放牧也影响了根际土壤的磷组分,随着放牧强度的增加,T12的TP浓度显著高于对照(P<0.05))。与对照相比,放牧处理下根际活性磷的浓度和比例显著升高,但放牧处理下的活性磷含量和比例均减低,有机磷的浓度和比例在T4和T8下显著降低,而在T12下显著升高;稳定磷在放牧处理下浓度显著下降,但其比例仅在T12时下降。

文献解读| 不同放牧强度下植物磷需求通过根系分泌物和菌根真菌刺激根际磷转移
文献解读| 不同放牧强度下植物磷需求通过根系分泌物和菌根真菌刺激根际磷转移

(2)土壤LMWOAs与微生物群落组成的变化

文献解读| 不同放牧强度下植物磷需求通过根系分泌物和菌根真菌刺激根际磷转移

各处理根际LMWOAs总量均显著高于非根际土(P<0.05)。在各放牧强度下,LMWOAs的组分中,酒石酸和乙酸均存在于根际和非根际土壤中,而柠檬酸、琥珀酸和草酸仅存在于根际。虽然放牧显著降低了根际LMWOAs的浓度,但随着放牧强度的增加,根际LMWOAs的浓度逐渐增加,在根际检测的5种LMWOAS中,除草酸外,其余的浓度与总LMWOAS浓度的变化规律基本一致(P<0.05);但重要的是,放牧增加了根际草酸含量,在T8和T12样地均显著超过对照(P<0.05)。EMF仅在根际测定(P<0.05);根际细菌G+和G-以及放线菌的生物量变化与总PLFA对放牧的响应基本一致。放牧显著提高根际AMF、EMF和其它真菌的生物量,均在T8时达到峰值(P<0.05)。放牧显著改变了根际微生物群落的组成,真菌的比例增加,而G+/G-的减少仅在T12时显著(P<0.05);4个处理根际真菌/细菌和G+/G-均显著高于非根际土壤。


(3)根际理化性质的改变

放牧强度显着影响根际土壤粒度分布,随着放牧的增加,粘土的百分比降低,而沙子的百分比增加(P<0.05)。与对照相比,随着放牧强度的增加,根际 pH 先上升后下降,T12 差异显着(P < 0.05)。SWC 也随着放牧强度的增加而显著降低(P < 0.05),并且除 T8 外,SOC 也显着下降(P < 0.05 )。放牧还显着降低了根际 TN,尤其是在 T4 和 T8 地块;相反,放牧增加了土壤容重,特别是在 T4(P < 0.05)。除了 T4 下 N:P 比显著增加外,T8 和 T12 下 N:P 比均下降(P < 0.05)。随着放牧强度的增加,单位面积粪便中的P含量显着增加(P < 0.05),酶AcPME和AlPME的活性也显着增加,其活性在T8下最高。


(4)放牧条件下根际环境因子与磷含量的关系

除草酸外,四种LMWOA的浓度与不稳定P和稳定P比例的增加几乎呈显著负相关,但与有机P比例的增加呈显著正相关(P<0.05)。此外,柠檬酸与稳定和有机磷组分的关系最可预测。不同类型的微生物生物量与P组分之间的关系大体一致,与不稳定P或稳定P的比例增加呈正相关,但与有机P的比例呈负相关。AMF、EMF和其他真菌的生物量值均显示出与不稳定P比例增加显著的正相关关系,其中EMF最强(P<0.05)。令人惊讶的是,只有草酸浓度与所有微生物生物量变量呈显著正相关,而其他LMWOA则相反(P<0.05)。此外,我们还发现根际pH、粒度分布、SWC、TN、排泄物P和AcPME都与放牧引起的P组分变化显著相关。SEM结构方程模型显示,根际环境因子柠檬酸浓度、沙粒比例、TN和粪磷含量对放牧条件下有机磷含量有正的净效应,而SWC对有机磷含量有负的净效应。

柠檬酸浓度、TN和粪磷含量对有机磷比例均有直接显著的影响(P<0.05)。此外,除TN外,其它因素均通过强相互作用影响有机磷的比例。放牧条件下,土壤中不稳定磷的比例主要受电动势生物量、草酸浓度、土壤pH、容重和根际淤泥比例的影响,EMF生物量对不稳定磷的比例有直接显著的正向影响,而其他因素主要是通过影响EMF生物量来增加不稳定磷(活性磷)。

文献解读| 不同放牧强度下植物磷需求通过根系分泌物和菌根真菌刺激根际磷转移
文献解读| 不同放牧强度下植物磷需求通过根系分泌物和菌根真菌刺激根际磷转移

6

讨论

(1)不同放牧强度对植物养分及APP的影响

草食动物的活动可能会通过促进水和风蚀而严重破坏土壤环境,这加速了磷的流失并减少了草地植物所需的土壤中有效磷的量。尽管放牧增加加剧了P限制,但APP仅在T12下下降,尽管仍高于对照的APP 。该结果最有可能是由于在绵羊食草动物啃食植物之后植物的正补偿性生长,这是一种适应性生理反应。在T4和T8处理下,草地植被的地上生物量接近对照的2.25倍。这表明在这些放牧条件下,根际中存在大量的生物利用磷,以满足植物生长的磷需求。T4和T8下叶片中较低的P浓度和较高的N: P比的主要原因可能是随之而来的植物生物量的大量增加。尽管T12中的APP明显高于对照组,但仍低于T4或T8。根P浓度是土壤磷有效性以及植物养分吸收和分配策略的关键指标之一。除T4放牧处理外,所有放牧处理均增加了根系磷浓度,这与上述推测的土壤有效磷供应的增加是一致的。根系磷浓度在T4处理下降低,可能是由于植物对轻牧的养分利用策略不同于其他处理。总体而言,放牧6号绵羊根际有效磷量相对于对照有所增加,但这种根际有效磷及其相应的动员机制在不同放牧强度梯度下测试并不均匀。因此,有必要进一步探讨放牧条件下根际磷迁移的具体过程和驱动因素。


(2)放牧条件下LMWOAs和微生物对根际磷的动员作用

根际P组分的变化可以有效地反映植物的动员过程。相关性分析表明,当根际不稳定磷的比例降低时,这可能会刺激植物增加其LMWOA的分泌。LMWOA 对 P 馏分转化的后续影响可能是将稳定的 P 转化为有机 P 形式,尤其是 NaHCO3-Po。鉴于根际 pH 值的变化与 LMWOA(草酸除外)浓度之间的不一致,LMWOA 对稳定磷的迁移可能无法通过酸化土壤来增加磷酸盐溶解度的方式。不同微生物的生物量与LMWOA的浓度呈负相关(草酸除外)。这意味着 LMWOA 可能不会主要通过提供微生物碳源来调动稳定的 P。稳定磷由有机磷和不溶性磷酸盐组成,与金属氧化物或其他颗粒紧密结合,使其难以被土壤中的微生物和植物利用。在我们的研究中,LMWOA 可能通过配体交换释放有机磷。除草酸外,LMWOA对有机磷的释放有较强的影响,其中根系产生的柠檬酸最强。一个合理的解释是,由于柠檬酸含有更多的羧基,它具有更多的可交换磷的位点,从而大大提高了土壤中有机磷的释放效率。通过比较散装土壤中 LMWOA 的成分和浓度,根际 LMWOA 浓度主要受根系分泌的影响。只能推断,植物分泌的 LMWOA 主要增加了有机磷的释放,而放牧下根际大量不稳定磷的产生仍然值得进一步讨论。

土壤微生物还可以通过产生磷酸酶以矿化有机磷、分泌螯合以溶解矿物磷以及加速植物获得磷来显著影响磷动力学。在当前的研究中,在不同的放牧强度下,根际微生物生物量比非根际土壤高,再加上仅在根际确定的EMF,表明微生物可能在根际过程中起关键作用。以前有关EMF的研究主要在森林中进行 我们的结果表明,EMF在温带草原中可能具有相同的P动员作用。综上所述,在mongolian内草原地点放牧下根际P的动员主要是由菌根真菌的发育和植物在LMWOAs地下的分泌所驱动的。然而,本研究中两者之间的负相关表明微生物过程与LMWOAs在土壤中的化学过程之间存在权衡,两个P动员途径可能受到土壤理化性质以及P有效性的影响。


(3)放牧条件下根际磷素转化过程及其对不同放牧强度处理响应的具体机制

放牧条件下根际磷迁移的主要过程。食草动物的咀嚼刺激植物的补偿性生长,导致植物磷的限制,从而产生大量的磷需求,植物通过分泌LMWOAs和形成更多的菌根来加速根际磷和磷吸附的转换。同时,草食动物的持续活动改变了土壤性质,进而影响植物对根际磷的动员过程。

文献解读| 不同放牧强度下植物磷需求通过根系分泌物和菌根真菌刺激根际磷转移

7

结论

(1)放牧,特别是在轻、中度放牧强度下,提高了植被生产力。

(2)与其他自然生态系统不同,放牧草地植被的磷限制可能是由于植物的补偿性生长和脊椎动物干扰下土壤磷有效性的下降造成的。

(3)为了满足其补偿生长所需的大量磷,植物通过LMWOAs和菌根真菌刺激土壤磷的转化。在实际生产环境中,中等强度的放牧更有利于内蒙古草原的生态恢复,在其他类似地区也可能是如此。总之,我们的研究结果表明,在放牧压力下,草地土壤磷在磷限制条件下存在一种特定的转化机制,也为更好地理解草地退化的原因和后果提供了及时的基础。




  • 最新资讯 MORE+
  • 点击次数: 0
    2026 - 05 - 21
    华南植物园鲁显楷研究员团队在《全球变化生物学》发表最新研究,通过长达20年的野外氮添加试验,发现长期高氮沉降不但未减少热带森林植物地下碳分配,反而驱动植物上调根系分泌物来活化土壤磷,为破解热带森林碳汇维持之谜提供关键机制。 近半个世纪多以来,全球氮沉降持续加剧扰乱了生态系统的氮磷平衡,尤其是在有效磷相对匮乏的热带亚热带地区。基于温带氮限制生态系统的大量经验研究,形成了经典认知:施氮会缓解植物对氮的竞争,从而减少光合产物向地下的分配,尤其降低根系分泌物的释放。然而,这一范式能否直接套用于“富氮”但磷匮乏的热带亚热带森林,长期缺乏实验证据,这成为预测高氮沉降背景下森林碳-磷反馈与生态系统稳定性的关键认知瓶颈。为了破解这一瓶颈,研究团队于2002年在广东鼎湖山国家级自然保护区原始林(季风常绿阔叶林)建立了长期连续氮添加实验样地(4种梯度:0,50,100和150 kg N ha⁻¹ year⁻¹),系统探讨了热带森林植物如何通过调节根系分泌物及其介导的土壤磷动态来适应长期高氮沉降。研究发现,面对长期氮沉降引发的土壤有效氮磷失衡,热带森林植物并未“吝啬”其碳资源,反而进化出了一种积极的适应机制:一是通过提高根系分泌物碳输入速率,激发微生物磷酸酶活性,加速有机磷矿化;二是增强有机酸释放,促进矿物结合态磷的溶解。其中,有机酸途径起主导作用,其驱动的磷释放约为磷酸酶途径的2倍。这些结果表明,持续高氮沉降下,热带森林植物可通过“支付”更多的光合碳产物,换取维持生长所必需的磷,建立起了“根系分泌物-土壤磷活化”的正反馈循环。该研究首次证实热带植物能通过上调根系分泌物释放来适应长期高氮沉降,修正了“氮沉降导致地下碳分配减少”的传统观点。这一发现不仅解释了热带“富氮”森林如何维持高生产力与稳定性,还表明生态系统在面对长期环境压力时可能拥有更复杂的主动适应策略,这对预...
  • 点击次数: 0
    2026 - 05 - 20
    文献信息:原名:Mycorrhizal Type Defines Priming Effects in Organic and Mineral Forest Soils译名:菌根类型调控森林土壤有机层与矿质层的激发效应期刊:Global Change BiologyIF:12.0发表日期:2026年3月第一作者:柳雄辉 中南林业科技大学通讯作者:陈亮教授 中南林业科技大学 背景:森林土壤有机碳是陆地碳库的核心,其周转受微生物激发效应(新鲜碳输入改变原有SOC分解速率)的影响。丛枝菌根(AM)与外生菌根(ECM)树种会形成不同的土壤环境,显著影响碳库分布与稳定性。现有研究已证实菌根类型驱动土壤碳循环差异,但菌根类型如何在不同土壤深度上调控激发效应,目前尚不清楚。 研究目的:明确菌根类型(AM/ECM)如何调控森林土壤激发效应,以及这种调控是否存在土层深度依赖性。当前研究大多仅关注表层土壤,仍不清楚在有机层与矿质层中,菌根如何通过碳库稳定性、氮素有效性、微生物功能基因等途径差异调控激发效应,缺乏菌根类型与土层深度交互作用下土壤激发效应的机制解析。 实验设计:1、采样地点:中国湖南省长沙县大山冲森林公园(28°23′N,113°19′E)。该森林公园是中国东南部典型的亚热带天然林,年均降水量1416 mm,年均气温17.3℃,优势树种林龄约65 年,土壤类型为红色壤土。2、样地设置:根据菌根类型梯度设置27 个样地( 10 m×10 m ),分为三组:外生菌根(ECM)样地、丛枝菌根(AM)样地、混合样地。其中ECM 树种包括:青冈、石栎、马尾松、白栎等;AM 树种包括:日本杜英、香樟、南酸枣、杉木等。3、土壤采样:在每个样地分别采集0-10 cm有机表土和10-30 cm矿质下层土。每个样地设置 5 个采样点:中心 1...
  • 点击次数: 0
    2026 - 04 - 16
    文献信息原名:Continental-scale drivers of soil microbial extracellular polymeric substances译名:大陆尺度下土壤微生物胞外聚合物的驱动因素研究期刊:Nature CommunicationsIF:15.7发表日期:2026.03通讯作者:阮宏华教授作者单位:南京林业大学背景土壤微生物胞外聚合物(EPS)是由微生物分泌的多糖、蛋白质等生物聚合物组成的复杂混合物,在形成土壤团聚体、构建微生物生境以及推动碳循环等方面发挥着重要作用。EPS作为微生物残体的重要组成之一,可能通过促进团聚体形成和矿物-有机物质结合,有助于土壤有机碳的稳定。然而,目前关于EPS在大陆尺度下的分布规律,以及其如何受气候、地质条件和土地利用方式的影响,仍缺乏清晰认识。以往研究多局限于实验室或小范围样点,尚未在大尺度上开展系统性评估。科学问题(1)分布格局:在欧洲气候梯度下,土壤EPS含量的分布规律是什么?土地利用和母岩类型如何影响其分布?(2)碳贡献:EPS碳在土壤有机碳库中占有多大比例?其贡献率受哪些因素调控?(3)生理权衡:微生物分配给EPS的碳比例如何沿环境梯度变化?环境压力(如水分亏缺)如何调整微生物的碳分配策略?研究方法研究团队沿横跨欧洲大陆约5500公里的样带(从地中海延伸至亚北极)设置了92个采样点,采集矿质表层土壤(0–15 cm),覆盖碳酸盐岩、硅酸盐岩和沉积岩三种主要母岩类型,以及林地、草地和农田三种土地利用方式。采用阳离子交换树脂法提取土壤胞外聚合物(EPS),并分别以蒽酮法和改良Lowry法测定EPS多糖与蛋白质含量,结合元素分析估算其碳含量(EPS多糖含碳39.1%,EPS蛋白质含碳50.7%)。同时,通过18O标记法测定微生物生长速率与碳利用效率,利用氨基糖分析评估微生物坏死体碳含量,系统测定了气候(如...
  • 点击次数: 0
    2026 - 04 - 14
    文献信息期刊:Water Research(1区,12.4)作者:Longlong An, Shuqin He, Xin Song, Zicheng Zheng, Tingxuan Li, Le Ha单位:1. 四川农业大学资源学院;2. 四川农业大学林学院;3. 成都栢晖生物科技有限公司;4. 中国农业大学土地科学与技术学院,农业农村部华北耕地保育重点实验室01图文摘要02成果简介近日,四川农业大学资源学院何淑勤、郑子成教授团队在Water Research上发表了题为“Long-term fertilization regimes mitigate dissolved organic matter leaching and alter its chemodiversity in agricultural soil leachate”的研究论文(DOI: 10.1016/j.watres.2026.125762)。该研究基于长达10年的田间定位试验,结合土柱淋溶实验、光谱分析(EEM-PARAFAC)和超高分辨质谱(FT-ICR MS)技术,系统揭示了长期有机肥与秸秆配施(CFOS)对紫色土坡耕地土壤溶解性有机质(DOM)淋溶行为及化学多样性的调控机制。该研究为通过合理施肥实现“增碳减排”的农业可持续发展提供了坚实的理论依据性。03引言土壤溶解性有机质(DOM)是陆地碳库中最活跃的组分,其淋溶迁移不仅造成土壤碳损失,还可能引发水体污染。长期施肥,尤其是有机肥和秸秆还田,已被证实能显著提升土壤有机碳储量,但其对DOM淋溶的影响却存在争议——部分研究表明有机物料输入会加剧DOM损失,形成“增碳不减碳”的恶性循环。因此,寻找一种既能增加土壤碳库又能抑制DOM淋溶的施肥模式,成为农业可持续发展的迫切需求。西南紫色土区是我国重要的粮食生产基地,土壤贫瘠、降雨集中,DOM淋溶风险高。...
文体活动 MORE+
案例名称: 孵化中心
说明: 栢晖生物科技有限公司项目孵化中心成立于2015.06.01日,研发领域涉及生物试剂耗材、仪器、新产品开发及各生物科技服务类项目等。自成立以来,陆续吸引了大批专家教授加盟合作,并与全国数十家高校及知名企业建立了良好的合作关系。中心共有博士及以上学位骨干人员10人,专门负责公司新产品研发等工作,已成功研发出无线温度监控器及NO检测试剂盒等产品(详情见成功案例),另有细胞分选仪等三个项目正在积极孵化当中。
2017 - 05 - 31
案例名称: 孵化中心流程
说明:
2017 - 07 - 17
微信公众号
检测咨询热线
 
地址:四川省成都市成华区龙潭街道成业路7号联东U谷二期7栋10楼
          湖南省长沙市芙蓉区雄天路98号广发隆平创业园2栋6002
官方热线:028 8525 3068
投诉电话:18181920125
传真:+86 0755-2788 8009
Copyright ©2005 - 2013 成都栢晖生物科技有限公司
犀牛云提供企业云服务