028-8525-3068
新闻动态 News
News 行业新闻

文献解读| 在亚北极苔原,土壤有效磷含量随着海拔升高而降低

日期: 2022-05-19
标签:

原名:Bioavailable Soil Phosphorus Decreases with Increasing Elevation in a Subarctic Tundra Landscape

译名:在亚北极苔原,土壤有效磷含量随着海拔升高而降低

作者:Vincent,et al.

期刊:PLOS ONE

影响因子/分区:3.27/3区

发表时间:2014.03.27

一、关键词

海拔梯度,土壤P生物有效性,P组分,植被,气候


二、研究主题和背景

(1)背景:磷 (P) 是北极和亚北极苔原中的重要大量营养素,其生物有效性受有机磷的矿化调控。尽管不同土壤特性对植物群落影响可能不同,但温度可能对磷生物有效性起着重要的调控作用。

(2)主题:我们研究了瑞典北部的海拔梯度,其中包括所有海拔的荒地和草甸植被类型,以研究温度,土壤磷吸附能力以及草酸盐可提取的铝 (Alox) 和铁 (Feox) 对不同土壤P组分的浓度的影响。


三、科学问题或科学假说

(1)科学问题与海拔相关的温度变化对亚北极生态系统中磷有效性和生物地球化学有怎样的影响?

2科学假说:a.不论植被类型如何,活性P组分的浓度都随着海拔的升高(温度降低)而降低。b.草甸土壤活性P浓度更低,低于荒地,由于草甸的叶片N:P更高,同时其有较高浓度的AlFe以及较高的土壤磷吸附能力。通过解决这些假设,我们旨在更好地了解温度变化(例如气候变暖)如何影响亚北极苔原生态系统中两种主要植被类型的磷有效性。


四、材料与方法

(1)本研究是在位于瑞典北部阿比斯库东南约20公里处的 Suorooaivi 山(1193 米)的东北面斜坡(68°19 N, 18°49’9 E)。于2007年,设置六个海拔梯度(500m-1000m,间隔100m),分别建立4个重复地块,共48个。腐殖质土壤于 2009 年 8 月 4 日取样。在每个地块内,在田间对岩心进行筛分(2 mm 目)以使样品均质化,并结合以产生每个地块的单个散装样品。将样品密封在聚乙烯袋中,并在取样的同一天运送到实验室。从每个样品中,立即将一个子样品储存在 2°C (48 h)下,剩余部分在 -20°C 下冷冻。

(2)Hedley P组分:顺序浸提法;树脂可萃取的P组分-树脂态P;(2)有机和无机NaHCO3- P (以下分别称为 “Bic-po” 和 “Bic-pi”);(3)有机和无机NaOH可萃取P(分别称为 “NaOH-po” 和 “NaOH-pi”);(4)Hcl-P;(5)Res-P。

(3)吸附指数:单点P吸附方法来评估相对P吸附能力;比色法。

(4)提取物中P的测定:流动注射分析仪 (FIA) 分析。总土壤P计算为在Hedley分馏中测得的所有P分数的总和,有机磷浓度为总磷与无机磷浓度之差。

(5)无定型铝 (Al) 和铁 (Fe) 浓度是在用 0.2 M 酸性草酸盐 (C2H8N2O4) 萃取后测定的,pH 值调节至 3。

(6)数据分析:多元方差分析;单因素方差分析。我们使用Pearson相关性来测试Alox和Feox之间的关系; 线性回归用于测试土壤P级分与Alox Feox,吸附指数和温度之间的关系。


五、结果

(1)海拔梯度的影响

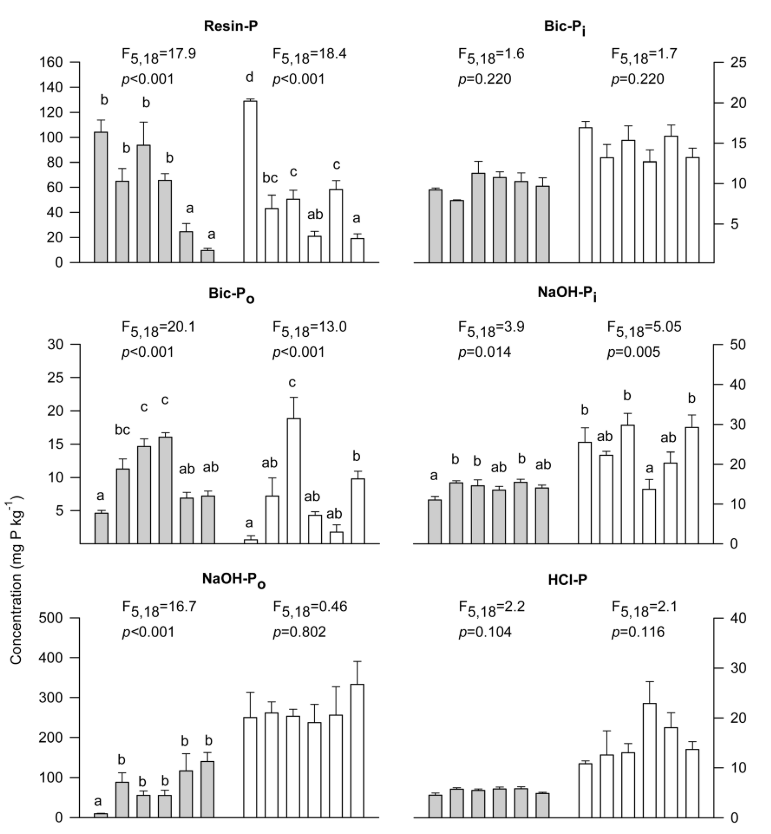
Residual-P 是所有海拔和植被类型,腐殖质中最丰富的 P 部分(占土壤总 P 的59-76%),其次是 NaOH-Po(1.6-31%)和 Resin-P(1.5-18%)。总不稳定P(即 Resin-P、BicPi 和 Bic-Po 的总和)占土壤总 P 的 4-20%。其中 Resin-P 的海拔影响最大,海拔最低处浓度最高。对于两种植被类型来说,最高海拔的树脂P 浓度分别比最低海拔的荒地和草地低 7 倍和 11 倍。总不稳定 P 趋势反映了树脂 P 的趋势,荒地最高海拔 (1000 m) 的浓度不到 500 m (最低海拔) 和 700 m 地点记录的浓度的1/5。在草甸,最高海拔处的总不稳定磷浓度不到最低海拔处记录的1/3。虽然海拔对除 Bic-Pi 和 HCl-P之外的所有其他土壤特性也有显着影响,但测量的任何其他 P 组分的海拔都没有简单的单向趋势或 Alox + Feox 或吸附指数。Resin-P保持单向升高趋势,Bic-Po保持非单向效应;此外,Bic-Pi 收到海拔的显著影响,因为它在草地的最低海拔处最高。将所有海拔和植被类型结合起来,Resin-P 与 Alox + Feox 和吸附指数均呈显着负相关,尽管相关性较弱。在大多数其他 P 组分与 Alox + Feox 和吸附指数之间观察到显着的正相关关系,最强的是 NaOH-Po 和 HCl-P,Resin-P 和总不稳定 P 与荒地和草甸植被中的温度显著正相关,荒地中的 pH 值也是如此, NaOH-Po与荒地温度呈负相关。


文献解读| 在亚北极苔原,土壤有效磷含量随着海拔升高而降低
文献解读| 在亚北极苔原,土壤有效磷含量随着海拔升高而降低
文献解读| 在亚北极苔原,土壤有效磷含量随着海拔升高而降低

(2)植被的影响

除树脂P和总不稳定磷外,所有磷组分的浓度在草地和荒地之间存在显著差异,除Bic-Po 外,所有这些都在草地上最高。NaOH-Po组分在两种植被类型之间的浓度差异最大; 草甸中的浓度平均比荒地中的浓度高三倍,并且代表草甸中的总P的25%,但仅在荒地中13%。Alox和Feox的浓度彼此高度相关 (R2 = 0.951,p,0.001),并且它们的总和 (Alox + Feox) 在草地中比在荒地中高平均三倍。平均20%,草地的吸附指数也显著高于荒地 。此外,吸附指数与Alox + Feox显著正相关。浓度除以吸附指数后,Bic-Pi和Bic-Po在草地和荒地中分别保持最高,而树脂-P在荒地中也最高。除Bic-Pi和HCl-P外,所有P组分的植被类型和海拔之间都存在交互作用,这意味着土壤P组成对海拔变化的响应取决于植被类型。

文献解读| 在亚北极苔原,土壤有效磷含量随着海拔升高而降低
文献解读| 在亚北极苔原,土壤有效磷含量随着海拔升高而降低



六、讨论

(1)海拔升高对不稳定性P组分的影响

假设不稳定磷组分的浓度随海拔升高(温度下降)而下降,而与植被类型无关。我们认为树脂-P、Bic-Pi和Bic-Po代表最不稳定的P组分;树脂磷与植物磷吸收密切相关,被认为是生物有效性最高的部分。此外,Bic-Pi被认为来源与树脂-P类似,而Bic-Po则容易矿化。对于这种树脂P形态,植被与海拔高度也有很强的交互作用,这意味着这两种植被类型之间的下降模式不同,因此海拔(温度)对磷有效性的影响取决于植被类型。Bic-Pi和Po的浓度没有显示出任何随海拔升高的单向趋势,但鉴于它们发生在低得多的浓度下,总体趋势仍然是生物可利用 P 随着海拔升高而下降的趋势之一。本研究地点的 Alox + Feox 浓度和吸附指数在不同海拔高度不同,并且都与总不稳定 P 呈弱负相关,但即使在校正吸附指数后,Resin-P 的海拔趋势仍然保持不变,表明它们在很大程度上是由吸附以外的因素解释的。许多因素可以解释观察到的 Resin-P 随着升高而降低。有机磷(作为 NaOH 可提取物和残留磷)是这些腐殖质土壤中磷的主要形式,有机磷的酶水解可能是释放生物可利用无机磷的驱动因素,正如阿拉斯加苔原所显示的那样。温度是亚北极地区土壤酶活性最强的驱动因素,变暖实验表明,即使温度相对较小的升高 (1.2-1.7°C) 也会导致高山生态系统有机磷矿化的大量增加。在此研究的海拔梯度上的温度变化先前已被证明与一系列变量有关,包括土壤pH,总氮和铵浓度,C与N的比率,植被密度,植物和微生物群落组成以及真菌与细菌的比率 。因此,许多沿海拔梯度变化的土壤和植被特性很可能代表对P可用性的间接温度控制。据以往研究表明,这是第一次沿亚北极海拔梯度进行 Hedley P 分馏分析。我们的研究结果进一步表明,由于海拔(以及温度)的微小变化与可用磷的巨大变化有关,根据当前气候变化预测,温度升高可能对北极苔原的未来磷可用性产生重大影响。

(2)不同磷组分的植被差异和分布

在草甸土壤中,Bic-Po总浓度显著低于荒地土壤,而吸附指数和Alox+Feox浓度显著高于荒地土壤。然而,Bic-Pi的浓度表现出相反的模式,最大的不稳定磷库树脂-P的浓度在不同植被类型之间没有显著差异。由于较高的铝和/或铁已被证明与有机土壤中的磷保留呈正相关,我们预计这也会导致树脂磷浓度降低,树脂磷具有较高的吸附倾向。然而,我们土壤中的Alox和Feox浓度远低于其他有机土壤中的Alox和Feox浓度。综上所述,我们的结果表明,草甸土壤中的铝和铁浓度不足以对活性无机磷的浓度施加强有力的控制。草甸土壤中较高的Alox Feox浓度和吸附指数值对树脂-P的浓度几乎没有明显影响,但它们可能导致有机P的吸附较高。这一事实表明,草甸中的NaOH-Po和残留P (在我们的土壤中主要是有机的) 的浓度比荒地中的高2.0和1.5倍。一些有机P化合物对Al和Fe氧化物具有很高的亲和力,并且土壤有机p通常与有机土壤中的Al和Fe浓度呈强正相关,通过保护有机磷免受微生物矿化的影响,草甸土壤中较高的有机磷吸附能力可以间接降低磷的利用率。这得到了我们的结果的支持,该结果表明,草甸的树脂磷浓度以总土壤磷的百分比表示,大约是荒地土壤中的一半,并且与草甸的磷限制比荒地植被中的磷限制相对较高的发现一致。


七、结论

(1)海拔下降500 m,同时温度升高2.5-3.0°C,在不同的苔原植被类型下,北极土壤中的树脂P浓度提高了约10倍。但是树脂P浓度随海拔 (温度) 变化的特定方式随植被类型而不同。

(2)在草甸土壤中,草酸盐可提取的Al和Fe的浓度较高,磷的吸附能力较高,有机磷的积累较高,树脂P的浓度成比例地较低,这与先前关于较高的相对P限制的报道相一致。草甸植被。

(3)本研究结果表明,下个世纪北极地区预测的温度升高3-5°C可能会增加土壤中不稳定P的浓度,但是这种升高的具体模式可能取决于植被类型。未来土壤磷利用率的增加可能会影响关键的生态系统过程,例如这些高度营养受限的苔原生态系统中的初级生产。


  • 最新资讯 MORE+
  • 点击次数: 0
    2026 - 05 - 21
    华南植物园鲁显楷研究员团队在《全球变化生物学》发表最新研究,通过长达20年的野外氮添加试验,发现长期高氮沉降不但未减少热带森林植物地下碳分配,反而驱动植物上调根系分泌物来活化土壤磷,为破解热带森林碳汇维持之谜提供关键机制。 近半个世纪多以来,全球氮沉降持续加剧扰乱了生态系统的氮磷平衡,尤其是在有效磷相对匮乏的热带亚热带地区。基于温带氮限制生态系统的大量经验研究,形成了经典认知:施氮会缓解植物对氮的竞争,从而减少光合产物向地下的分配,尤其降低根系分泌物的释放。然而,这一范式能否直接套用于“富氮”但磷匮乏的热带亚热带森林,长期缺乏实验证据,这成为预测高氮沉降背景下森林碳-磷反馈与生态系统稳定性的关键认知瓶颈。为了破解这一瓶颈,研究团队于2002年在广东鼎湖山国家级自然保护区原始林(季风常绿阔叶林)建立了长期连续氮添加实验样地(4种梯度:0,50,100和150 kg N ha⁻¹ year⁻¹),系统探讨了热带森林植物如何通过调节根系分泌物及其介导的土壤磷动态来适应长期高氮沉降。研究发现,面对长期氮沉降引发的土壤有效氮磷失衡,热带森林植物并未“吝啬”其碳资源,反而进化出了一种积极的适应机制:一是通过提高根系分泌物碳输入速率,激发微生物磷酸酶活性,加速有机磷矿化;二是增强有机酸释放,促进矿物结合态磷的溶解。其中,有机酸途径起主导作用,其驱动的磷释放约为磷酸酶途径的2倍。这些结果表明,持续高氮沉降下,热带森林植物可通过“支付”更多的光合碳产物,换取维持生长所必需的磷,建立起了“根系分泌物-土壤磷活化”的正反馈循环。该研究首次证实热带植物能通过上调根系分泌物释放来适应长期高氮沉降,修正了“氮沉降导致地下碳分配减少”的传统观点。这一发现不仅解释了热带“富氮”森林如何维持高生产力与稳定性,还表明生态系统在面对长期环境压力时可能拥有更复杂的主动适应策略,这对预...
  • 点击次数: 0
    2026 - 05 - 20
    文献信息:原名:Mycorrhizal Type Defines Priming Effects in Organic and Mineral Forest Soils译名:菌根类型调控森林土壤有机层与矿质层的激发效应期刊:Global Change BiologyIF:12.0发表日期:2026年3月第一作者:柳雄辉 中南林业科技大学通讯作者:陈亮教授 中南林业科技大学 背景:森林土壤有机碳是陆地碳库的核心,其周转受微生物激发效应(新鲜碳输入改变原有SOC分解速率)的影响。丛枝菌根(AM)与外生菌根(ECM)树种会形成不同的土壤环境,显著影响碳库分布与稳定性。现有研究已证实菌根类型驱动土壤碳循环差异,但菌根类型如何在不同土壤深度上调控激发效应,目前尚不清楚。 研究目的:明确菌根类型(AM/ECM)如何调控森林土壤激发效应,以及这种调控是否存在土层深度依赖性。当前研究大多仅关注表层土壤,仍不清楚在有机层与矿质层中,菌根如何通过碳库稳定性、氮素有效性、微生物功能基因等途径差异调控激发效应,缺乏菌根类型与土层深度交互作用下土壤激发效应的机制解析。 实验设计:1、采样地点:中国湖南省长沙县大山冲森林公园(28°23′N,113°19′E)。该森林公园是中国东南部典型的亚热带天然林,年均降水量1416 mm,年均气温17.3℃,优势树种林龄约65 年,土壤类型为红色壤土。2、样地设置:根据菌根类型梯度设置27 个样地( 10 m×10 m ),分为三组:外生菌根(ECM)样地、丛枝菌根(AM)样地、混合样地。其中ECM 树种包括:青冈、石栎、马尾松、白栎等;AM 树种包括:日本杜英、香樟、南酸枣、杉木等。3、土壤采样:在每个样地分别采集0-10 cm有机表土和10-30 cm矿质下层土。每个样地设置 5 个采样点:中心 1...
  • 点击次数: 0
    2026 - 04 - 16
    文献信息原名:Continental-scale drivers of soil microbial extracellular polymeric substances译名:大陆尺度下土壤微生物胞外聚合物的驱动因素研究期刊:Nature CommunicationsIF:15.7发表日期:2026.03通讯作者:阮宏华教授作者单位:南京林业大学背景土壤微生物胞外聚合物(EPS)是由微生物分泌的多糖、蛋白质等生物聚合物组成的复杂混合物,在形成土壤团聚体、构建微生物生境以及推动碳循环等方面发挥着重要作用。EPS作为微生物残体的重要组成之一,可能通过促进团聚体形成和矿物-有机物质结合,有助于土壤有机碳的稳定。然而,目前关于EPS在大陆尺度下的分布规律,以及其如何受气候、地质条件和土地利用方式的影响,仍缺乏清晰认识。以往研究多局限于实验室或小范围样点,尚未在大尺度上开展系统性评估。科学问题(1)分布格局:在欧洲气候梯度下,土壤EPS含量的分布规律是什么?土地利用和母岩类型如何影响其分布?(2)碳贡献:EPS碳在土壤有机碳库中占有多大比例?其贡献率受哪些因素调控?(3)生理权衡:微生物分配给EPS的碳比例如何沿环境梯度变化?环境压力(如水分亏缺)如何调整微生物的碳分配策略?研究方法研究团队沿横跨欧洲大陆约5500公里的样带(从地中海延伸至亚北极)设置了92个采样点,采集矿质表层土壤(0–15 cm),覆盖碳酸盐岩、硅酸盐岩和沉积岩三种主要母岩类型,以及林地、草地和农田三种土地利用方式。采用阳离子交换树脂法提取土壤胞外聚合物(EPS),并分别以蒽酮法和改良Lowry法测定EPS多糖与蛋白质含量,结合元素分析估算其碳含量(EPS多糖含碳39.1%,EPS蛋白质含碳50.7%)。同时,通过18O标记法测定微生物生长速率与碳利用效率,利用氨基糖分析评估微生物坏死体碳含量,系统测定了气候(如...
  • 点击次数: 0
    2026 - 04 - 14
    文献信息期刊:Water Research(1区,12.4)作者:Longlong An, Shuqin He, Xin Song, Zicheng Zheng, Tingxuan Li, Le Ha单位:1. 四川农业大学资源学院;2. 四川农业大学林学院;3. 成都栢晖生物科技有限公司;4. 中国农业大学土地科学与技术学院,农业农村部华北耕地保育重点实验室01图文摘要02成果简介近日,四川农业大学资源学院何淑勤、郑子成教授团队在Water Research上发表了题为“Long-term fertilization regimes mitigate dissolved organic matter leaching and alter its chemodiversity in agricultural soil leachate”的研究论文(DOI: 10.1016/j.watres.2026.125762)。该研究基于长达10年的田间定位试验,结合土柱淋溶实验、光谱分析(EEM-PARAFAC)和超高分辨质谱(FT-ICR MS)技术,系统揭示了长期有机肥与秸秆配施(CFOS)对紫色土坡耕地土壤溶解性有机质(DOM)淋溶行为及化学多样性的调控机制。该研究为通过合理施肥实现“增碳减排”的农业可持续发展提供了坚实的理论依据性。03引言土壤溶解性有机质(DOM)是陆地碳库中最活跃的组分,其淋溶迁移不仅造成土壤碳损失,还可能引发水体污染。长期施肥,尤其是有机肥和秸秆还田,已被证实能显著提升土壤有机碳储量,但其对DOM淋溶的影响却存在争议——部分研究表明有机物料输入会加剧DOM损失,形成“增碳不减碳”的恶性循环。因此,寻找一种既能增加土壤碳库又能抑制DOM淋溶的施肥模式,成为农业可持续发展的迫切需求。西南紫色土区是我国重要的粮食生产基地,土壤贫瘠、降雨集中,DOM淋溶风险高。...
文体活动 MORE+
案例名称: 孵化中心
说明: 栢晖生物科技有限公司项目孵化中心成立于2015.06.01日,研发领域涉及生物试剂耗材、仪器、新产品开发及各生物科技服务类项目等。自成立以来,陆续吸引了大批专家教授加盟合作,并与全国数十家高校及知名企业建立了良好的合作关系。中心共有博士及以上学位骨干人员10人,专门负责公司新产品研发等工作,已成功研发出无线温度监控器及NO检测试剂盒等产品(详情见成功案例),另有细胞分选仪等三个项目正在积极孵化当中。
2017 - 05 - 31
案例名称: 孵化中心流程
说明:
2017 - 07 - 17
微信公众号
检测咨询热线
 
地址:四川省成都市成华区龙潭街道成业路7号联东U谷二期7栋10楼
          湖南省长沙市芙蓉区雄天路98号广发隆平创业园2栋6002
官方热线:028 8525 3068
投诉电话:18181920125
传真:+86 0755-2788 8009
Copyright ©2005 - 2013 成都栢晖生物科技有限公司
犀牛云提供企业云服务