028-8525-3068
新闻动态 News
News 行业新闻

文献解读| 微生物资源限制和模拟代谢活性沿海拔梯度的变化规律

日期: 2022-04-20
标签:

原名:Resource limitation and modeled microbial metabolism along an elevation gradient

译名:微生物资源限制和模拟代谢活性沿海拔梯度的变化规律

期刊:Catena

IF:5.198

发表时间:2021.10

第一作者:Zhang, SH


摘要

土壤微生物对全球碳—气候反馈具有重要影响,同时其代谢活性通常受到养分有效性的限制。海拔变化对土壤微生物群落具有重要影响,但其对微生物资源限制的影响及其对碳动态的调控机制尚未阐明。本研究中,我们在秦岭(Qinling Mountains)沿海拔梯度从1308 – 2600 m之间设置了6个梯度进行土壤取样,通过测定和计算胞外酶化学计量比并模拟微生物代谢以揭示土壤微生物沿海拔梯度的资源限制特征和主要代谢过程(如:有机碳分解速率和微生物呼吸速率)的变化规律。还测定了年平均气温(MAT)、年平均降水量(MAP)、土壤总C:N:P比值、土壤有效养分以及微生物生物量等环境指标。结果表明:该地点的土壤微生物均受到N限制,并且随着海拔升高,土壤微生物N限制显著增强。随着海拔升高,有机碳分解速率(M)和微生物呼吸速率(Rm)显著降低。这表明,由海拔变化引起的温度升高可能缓解了微生物N限制并导致土壤C释放增加。冗余分析(RDA)表明,MAT和土壤养分化学计量比(尤其是DOC:TDN)是解释土壤微生物资源限制特征和主要代谢过程沿海拔梯度变化的主要环境因子。综上,本研究表明,由于土壤C:N比值的变化,高海拔地点的微生物遭受更强的N限制,可能有利于土壤有机碳积累,该结果为气候变暖背景下微生物介导的土壤C释放过程提供了见解。

研究背景

温度是微生物代谢过程的主要驱动因子并决定了微生物利用养分的能力。因此,了解微生物过程如何响应温度变化,对于预测气候变化对微生物养分获取的影响具有重要意义。随着海拔升高,环境温度下降,因此沿海拔梯度取样有助于阐明微生物养分获取和代谢特征对温度变化的响应机制。尽管一些研究已经表明微生物特性对海拔引起的温度变化响应十分敏感,而这种响应直接受到海拔变化引起土壤养分有效性变化的影响。但海拔变化对微生物资源限制和代谢特征的具体影响机制还未阐明。为了理解微生物资源的限制和微生物代谢过程,并揭示其沿海拔梯度变化的潜在机制,我们在中国太白山(Taibai Mountain of China)进行了沿海拔梯度的土壤取样。并提出以下假设:1.该地区的土壤微生物可能受到N和P限制的影响,且N和P限制相对影响可能随着海拔变化而变化;2.土壤微生物资源限制和主要微生物过程可能受到气候因素的间接影响,但主要受有效养分和微生物生物量的直接影响。

主要结果

1. 植物特性和土壤理化性质沿海拔的变化

植物特性和土壤理化性质在不同海拔梯度具有显著差异。具体地,植物叶片和根组织C、N和P浓度在中间海拔梯度最高,但C:N:P计量比沿海拔梯度没有显著变化。高海拔梯度的土壤C:N比值尤其是DOC:TDN显著高于低海拔区域,土壤湿度(SM)随海拔升高而增加。


2. 土壤胞外酶化学计量比微生物资源限制

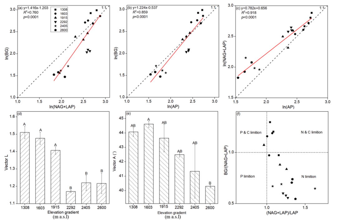
结果表明,ln(BG):ln(NAG + LAP)和ln (BG):ln(AP) 比值沿海拔梯度显著降低。但ln(NAG + LAP):ln(AP)比值显著增加(图2a, 2b和2c)。并且,所有样点均分布于图3a 的1:1线之下,图3c 的1:1线之上,表明该研究区域的土壤微生物普遍受到强烈N限制(图3c)。海拔对微生物代谢特征具有显著影响(图3d和3e)。向量长度(Vector lengths与微生物C限制程度正相关)在1308 m处为1.47 ± 0.1,在2292 m处为1.35 ± 0.1。向量角度(Vector angles)均小于45°,并沿海拔梯度显著降低,表明微生物N限制沿海拔梯度增强。

文献解读| 微生物资源限制和模拟代谢活性沿海拔梯度的变化规律

图2 土壤胞外酶化学计量沿海拔梯度的变化规律

文献解读| 微生物资源限制和模拟代谢活性沿海拔梯度的变化规律

图3 土壤微生物沿海拔梯度的资源限制变化规律


3. 有机碳降解和微生物呼吸模拟

结果表明,有机碳降解速率(M)随海拔升高而显著降低,微生物呼吸速率(Rm)则是先增加再降低(图4)。

文献解读| 微生物资源限制和模拟代谢活性沿海拔梯度的变化规律

图4 模拟微生物代谢过程沿海拔梯度的变化规律


4. 环境变量共同调节微生物资源限制、有机碳降解速率和微生物呼吸速率

有机碳降解速率和微生物呼吸速率在海拔梯度上与资源有效性显著相关。具体地,平均向量长度和向量角度随着SOC降解速率和微生物呼吸速率升高而增加(图5)。RDA分析表明,土壤养分化学计量比(总养分和有效养分)对土壤微生物资源限制特征变化的贡献大于气候因子(MAT和MAP)和植物叶片和根组织化学计量比的贡献。特别地,土壤有效养分比值比总养分比值的影响更大。RDA分析还表明,土壤有效养分比值和气候因子可以解释大部分有机碳降解速率和微生物呼吸速率的变异。

文献解读| 微生物资源限制和模拟代谢活性沿海拔梯度的变化规律

图5 微生物代谢过程与资源限制特征之间的关系

文献解读| 微生物资源限制和模拟代谢活性沿海拔梯度的变化规律

图6 环境变量对微生物资源限制特征变化的贡献

文献解读| 微生物资源限制和模拟代谢活性沿海拔梯度的变化规律

图7 环境变量对微生物代谢过程变化的贡献

结论

随着海拔升高,土壤微生物N限制增强,同时有机碳降解速率和微生物呼吸速率下降。该结果表明在全球变暖背景下,高海拔地区土壤微生物N限制可能得到缓解并最终增加土壤C损失。土壤C:N比值尤其是DOC:TDN是预测土壤微生物N限制以及有机碳降解速率和微生物呼吸速率的关键因子,该结果表明土壤微生物N限制可能通过改变土壤C、N平衡进而决定土壤C动态。因此,在全球气候变化背景下,我们的研究强调了需要将酶介导的微生物降解过程作为改进土壤碳动态预测模型的一种手段。



  • 最新资讯 MORE+
  • 点击次数: 0
    2026 - 05 - 21
    华南植物园鲁显楷研究员团队在《全球变化生物学》发表最新研究,通过长达20年的野外氮添加试验,发现长期高氮沉降不但未减少热带森林植物地下碳分配,反而驱动植物上调根系分泌物来活化土壤磷,为破解热带森林碳汇维持之谜提供关键机制。 近半个世纪多以来,全球氮沉降持续加剧扰乱了生态系统的氮磷平衡,尤其是在有效磷相对匮乏的热带亚热带地区。基于温带氮限制生态系统的大量经验研究,形成了经典认知:施氮会缓解植物对氮的竞争,从而减少光合产物向地下的分配,尤其降低根系分泌物的释放。然而,这一范式能否直接套用于“富氮”但磷匮乏的热带亚热带森林,长期缺乏实验证据,这成为预测高氮沉降背景下森林碳-磷反馈与生态系统稳定性的关键认知瓶颈。为了破解这一瓶颈,研究团队于2002年在广东鼎湖山国家级自然保护区原始林(季风常绿阔叶林)建立了长期连续氮添加实验样地(4种梯度:0,50,100和150 kg N ha⁻¹ year⁻¹),系统探讨了热带森林植物如何通过调节根系分泌物及其介导的土壤磷动态来适应长期高氮沉降。研究发现,面对长期氮沉降引发的土壤有效氮磷失衡,热带森林植物并未“吝啬”其碳资源,反而进化出了一种积极的适应机制:一是通过提高根系分泌物碳输入速率,激发微生物磷酸酶活性,加速有机磷矿化;二是增强有机酸释放,促进矿物结合态磷的溶解。其中,有机酸途径起主导作用,其驱动的磷释放约为磷酸酶途径的2倍。这些结果表明,持续高氮沉降下,热带森林植物可通过“支付”更多的光合碳产物,换取维持生长所必需的磷,建立起了“根系分泌物-土壤磷活化”的正反馈循环。该研究首次证实热带植物能通过上调根系分泌物释放来适应长期高氮沉降,修正了“氮沉降导致地下碳分配减少”的传统观点。这一发现不仅解释了热带“富氮”森林如何维持高生产力与稳定性,还表明生态系统在面对长期环境压力时可能拥有更复杂的主动适应策略,这对预...
  • 点击次数: 0
    2026 - 05 - 20
    文献信息:原名:Mycorrhizal Type Defines Priming Effects in Organic and Mineral Forest Soils译名:菌根类型调控森林土壤有机层与矿质层的激发效应期刊:Global Change BiologyIF:12.0发表日期:2026年3月第一作者:柳雄辉 中南林业科技大学通讯作者:陈亮教授 中南林业科技大学 背景:森林土壤有机碳是陆地碳库的核心,其周转受微生物激发效应(新鲜碳输入改变原有SOC分解速率)的影响。丛枝菌根(AM)与外生菌根(ECM)树种会形成不同的土壤环境,显著影响碳库分布与稳定性。现有研究已证实菌根类型驱动土壤碳循环差异,但菌根类型如何在不同土壤深度上调控激发效应,目前尚不清楚。 研究目的:明确菌根类型(AM/ECM)如何调控森林土壤激发效应,以及这种调控是否存在土层深度依赖性。当前研究大多仅关注表层土壤,仍不清楚在有机层与矿质层中,菌根如何通过碳库稳定性、氮素有效性、微生物功能基因等途径差异调控激发效应,缺乏菌根类型与土层深度交互作用下土壤激发效应的机制解析。 实验设计:1、采样地点:中国湖南省长沙县大山冲森林公园(28°23′N,113°19′E)。该森林公园是中国东南部典型的亚热带天然林,年均降水量1416 mm,年均气温17.3℃,优势树种林龄约65 年,土壤类型为红色壤土。2、样地设置:根据菌根类型梯度设置27 个样地( 10 m×10 m ),分为三组:外生菌根(ECM)样地、丛枝菌根(AM)样地、混合样地。其中ECM 树种包括:青冈、石栎、马尾松、白栎等;AM 树种包括:日本杜英、香樟、南酸枣、杉木等。3、土壤采样:在每个样地分别采集0-10 cm有机表土和10-30 cm矿质下层土。每个样地设置 5 个采样点:中心 1...
  • 点击次数: 0
    2026 - 04 - 16
    文献信息原名:Continental-scale drivers of soil microbial extracellular polymeric substances译名:大陆尺度下土壤微生物胞外聚合物的驱动因素研究期刊:Nature CommunicationsIF:15.7发表日期:2026.03通讯作者:阮宏华教授作者单位:南京林业大学背景土壤微生物胞外聚合物(EPS)是由微生物分泌的多糖、蛋白质等生物聚合物组成的复杂混合物,在形成土壤团聚体、构建微生物生境以及推动碳循环等方面发挥着重要作用。EPS作为微生物残体的重要组成之一,可能通过促进团聚体形成和矿物-有机物质结合,有助于土壤有机碳的稳定。然而,目前关于EPS在大陆尺度下的分布规律,以及其如何受气候、地质条件和土地利用方式的影响,仍缺乏清晰认识。以往研究多局限于实验室或小范围样点,尚未在大尺度上开展系统性评估。科学问题(1)分布格局:在欧洲气候梯度下,土壤EPS含量的分布规律是什么?土地利用和母岩类型如何影响其分布?(2)碳贡献:EPS碳在土壤有机碳库中占有多大比例?其贡献率受哪些因素调控?(3)生理权衡:微生物分配给EPS的碳比例如何沿环境梯度变化?环境压力(如水分亏缺)如何调整微生物的碳分配策略?研究方法研究团队沿横跨欧洲大陆约5500公里的样带(从地中海延伸至亚北极)设置了92个采样点,采集矿质表层土壤(0–15 cm),覆盖碳酸盐岩、硅酸盐岩和沉积岩三种主要母岩类型,以及林地、草地和农田三种土地利用方式。采用阳离子交换树脂法提取土壤胞外聚合物(EPS),并分别以蒽酮法和改良Lowry法测定EPS多糖与蛋白质含量,结合元素分析估算其碳含量(EPS多糖含碳39.1%,EPS蛋白质含碳50.7%)。同时,通过18O标记法测定微生物生长速率与碳利用效率,利用氨基糖分析评估微生物坏死体碳含量,系统测定了气候(如...
  • 点击次数: 0
    2026 - 04 - 14
    文献信息期刊:Water Research(1区,12.4)作者:Longlong An, Shuqin He, Xin Song, Zicheng Zheng, Tingxuan Li, Le Ha单位:1. 四川农业大学资源学院;2. 四川农业大学林学院;3. 成都栢晖生物科技有限公司;4. 中国农业大学土地科学与技术学院,农业农村部华北耕地保育重点实验室01图文摘要02成果简介近日,四川农业大学资源学院何淑勤、郑子成教授团队在Water Research上发表了题为“Long-term fertilization regimes mitigate dissolved organic matter leaching and alter its chemodiversity in agricultural soil leachate”的研究论文(DOI: 10.1016/j.watres.2026.125762)。该研究基于长达10年的田间定位试验,结合土柱淋溶实验、光谱分析(EEM-PARAFAC)和超高分辨质谱(FT-ICR MS)技术,系统揭示了长期有机肥与秸秆配施(CFOS)对紫色土坡耕地土壤溶解性有机质(DOM)淋溶行为及化学多样性的调控机制。该研究为通过合理施肥实现“增碳减排”的农业可持续发展提供了坚实的理论依据性。03引言土壤溶解性有机质(DOM)是陆地碳库中最活跃的组分,其淋溶迁移不仅造成土壤碳损失,还可能引发水体污染。长期施肥,尤其是有机肥和秸秆还田,已被证实能显著提升土壤有机碳储量,但其对DOM淋溶的影响却存在争议——部分研究表明有机物料输入会加剧DOM损失,形成“增碳不减碳”的恶性循环。因此,寻找一种既能增加土壤碳库又能抑制DOM淋溶的施肥模式,成为农业可持续发展的迫切需求。西南紫色土区是我国重要的粮食生产基地,土壤贫瘠、降雨集中,DOM淋溶风险高。...
文体活动 MORE+
案例名称: 孵化中心
说明: 栢晖生物科技有限公司项目孵化中心成立于2015.06.01日,研发领域涉及生物试剂耗材、仪器、新产品开发及各生物科技服务类项目等。自成立以来,陆续吸引了大批专家教授加盟合作,并与全国数十家高校及知名企业建立了良好的合作关系。中心共有博士及以上学位骨干人员10人,专门负责公司新产品研发等工作,已成功研发出无线温度监控器及NO检测试剂盒等产品(详情见成功案例),另有细胞分选仪等三个项目正在积极孵化当中。
2017 - 05 - 31
案例名称: 孵化中心流程
说明:
2017 - 07 - 17
微信公众号
检测咨询热线
 
地址:四川省成都市成华区龙潭街道成业路7号联东U谷二期7栋10楼
          湖南省长沙市芙蓉区雄天路98号广发隆平创业园2栋6002
官方热线:028 8525 3068
投诉电话:18181920125
传真:+86 0755-2788 8009
Copyright ©2005 - 2013 成都栢晖生物科技有限公司
犀牛云提供企业云服务